EasyManua.ls Logo

Philips CDR779 - Page 58

Philips CDR779
78 pages
Print Icon
To Next Page IconTo Next Page
To Next Page IconTo Next Page
To Previous Page IconTo Previous Page
To Previous Page IconTo Previous Page
Loading...
Faultfinding Guide
GB 58 CDR7798.
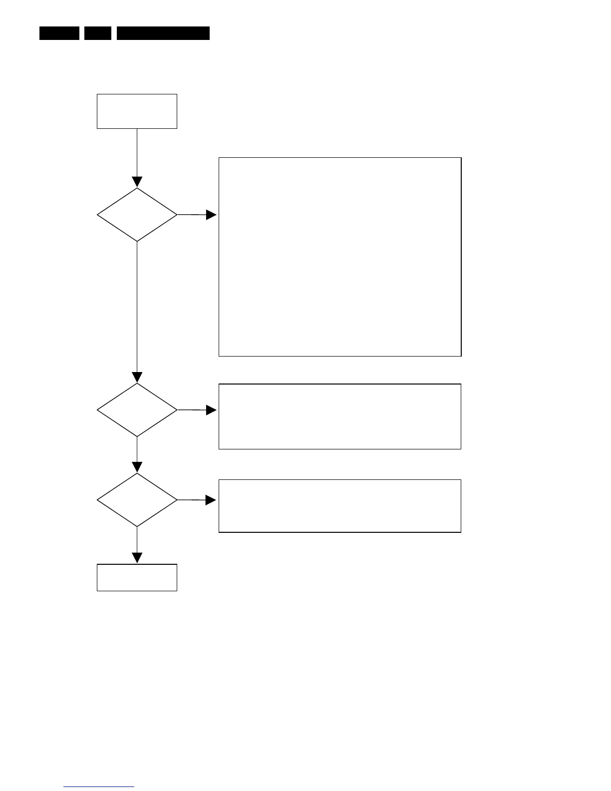
8.1.3 Display board troubleshooting guide
Figure 8-9 Display board troubleshooting
SWITCH POWER ON,
EXIT STAND BY
MODE
DISPLAY BOARD
OK
DISPLAY?
CHECK :
SUPPLY VOLTAGES
-38V ±5% at conn. 1119-2
3V8 ± 10% between conn. 1119-1 and 1119-3
+5V ± 5 % at conn. 1119-10 (1121-4 for CDR570/930)
CLOCK SIGNAL
8Mhz at pins 8, 9 of IC7104
CONTROL SIGNALS
RESETN 3V3 (high) at conn.1119-4 after start up
I2C DATA at conn. 1119-5
I2C CLK at conn. 1119-7 (1121-1 for CDR570/930)
FTD DRIVE LINES
Filament voltage 3V8 ± 10% between pins 1-2-3 and
pins 45-46-47 (pins 1-2 and pins 48-49 for CDR
570/930) of the FTD (1113)
Grid lines (see test instructions)
Segment lines (see test instructions)
ELECTRICAL SERVICE DIAGNOSTICS - Local display test
YES
YES
YES
KEY
FUNCTIONS?
REMOTE
CONTROL?
NO
NO
CHECK:
KEY MATRIX LINES (see test instructions)
ELECTRICAL SERVICE DIAGNOSTICS – Keyboard test
EASY JOG KNOB (see test instructions)
NO
CHECK:
IR RECEIVER signal at pin 22 of IC7104 (see test instructions)
ELECTRICAL SERVICE DIAGNOSTICS – Remote control test
CL 96532076_020.eps
290799

Related product manuals