EasyManua.ls Logo

phytron LSS 26 - Pt100 Resistor Sensor

phytron LSS 26
29 pages
Print Icon
To Next Page IconTo Next Page
To Next Page IconTo Next Page
To Previous Page IconTo Previous Page
To Previous Page IconTo Previous Page
Loading...
How to Handle In-Vacuum and Cryo Stepper Motors
22 MA 1203-A010 EN
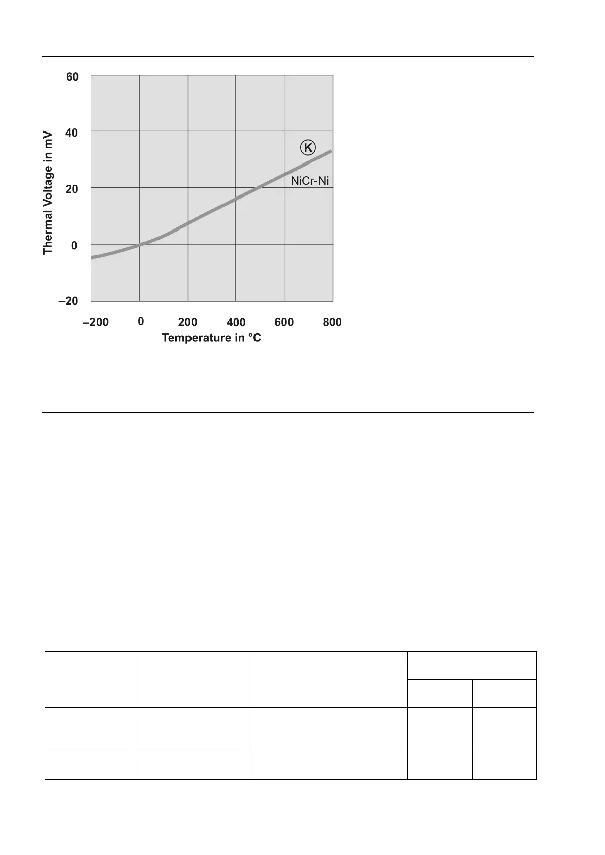
Fig. 8 : Type K thermal element characteristic curve
7.2 Pt100 Resistor Sensor
Pt100 resistor sensors are used with VSS in-vacuum and Cryo stepper motors in the tem-
perature range 200 to +300 °C.
These precise sensors are used in extreme industrial and laboratory conditions. They con-
sist of a wound resistance wire that is mounted and supported inside a cylindrical ceramic
case.
Rated resistance at 0 °C: R
0
= 100 +/ 0.04 
Resistance at 100 °C: R
100
= 138.5 +/ 0.1
The resistance values for other temperatures can be found in the fundamental value tables
for Pt100 resistance sensors.
Accuracy class: T = 1/3 of class B acc. to DIN EN 60751
In accuracy class T the valid scope is reduced to 70 to +250 °C.
For temperatures below 70 °C class B is valid.
Tolerance
class
Scope
Tolerance in K
Tolerance
t = 0 °C
t = 100 °C
Class T
(1/3 Class B)
70 ... +250 °C
+/ (0.10 K + 0.0017 x |t|)
+/ 0.10 K
+/ 0.27 K
Class B
200 ... +850 °C
+/ (0.30 K + 0.0050 x |t|)
+/ 0.3 K
+/ 0.80 K