EasyManua.ls Logo

Raytheon Beech Baron E55 - Page 351

Raytheon Beech Baron E55
903 pages
Print Icon
To Next Page IconTo Next Page
To Next Page IconTo Next Page
To Previous Page IconTo Previous Page
To Previous Page IconTo Previous Page
Loading...
Raydheon
Aircraft
Company
BARON
55
AND
58
SHOP
MANUAL
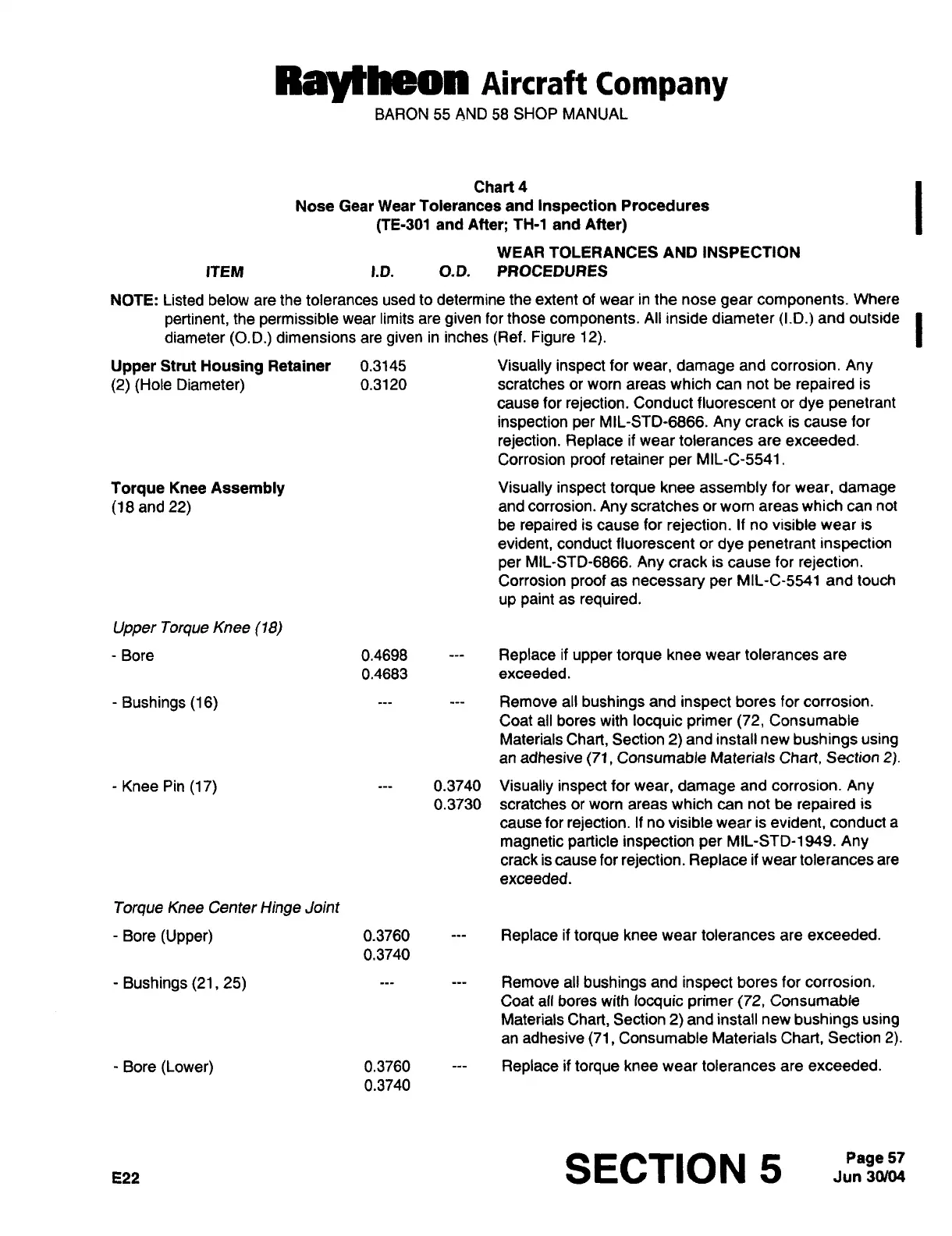
Chart
4
Nose
Gear
Wear
Tolerances
and
Inspection
Procedures
(TE-301
and
After;
TH-1
and
After)
WEAR
TOLERANCES
AND
INSPECTION
ITEM
I.D.
O.D.
PROCEDURES
NOTE:
Listed
below
are
the
tolerances
used
to
determine
the
extent
of
wear
in
the
nose
gear
components.
Where
pertinent,
the
permissible
wear
limits
are
given
for
those
components.
All
inside
diameter
(l.D.)
and
outside
I
diameter
(O.D.)
dimensions
are
given
in
inches
(Ref.
Figure
12).
Upper
Strut
Housing
Retainer
0.3145
Visually
inspect
for
wear,
damage
and
corrosion.
Any
(2)
(Hole
Diameter)
0.3120
scratches
or
worn
areas
which
can
not
be
repaired
is
cause
for
rejection.
Conduct
fluorescent
or
dye
penetrant
inspection
per
MIL-STD-6866.
Any
crack
is
cause
for
rejection.
Replace
if
wear
tolerances
are
exceeded.
Corrosion
proof
retainer
per
MIL-C-5541.
Torque
Knee
Assembly
Visually
inspect
torque
knee
assembly
for
wear,
damage
(18
and
22)
and
corrosion.
Any
scratches
or
worn
areas
which
can
not
be
repaired
is
cause
for
rejection.
If
no
visible
wear
is
evident,
conduct
fluorescent
or
dye
penetrant
inspection
per
MIL-STD-6866.
Any
crack
is
cause
for
rejection.
Corrosion
proof
as
necessary
per
M1L-C-5541
and
touch
up
paint
as
required.
Upper
Torque
Knee
(18)
-Bore
0.4698
Replace
if
upper
torque
knee
wear
tolerances
are
0.4683
exceeded.
Bushings
(16)
Remove
all
bushings
and
inspect
bores
for
corrosion.
Coat
all
bores
with
locquic
primer
(72,
Consumable
Materials
Chart,
Section
2)
and
install
new
bushings
using
an
adhesive
(71,
Consumable
Materials
Chart,
Section
2).
Knee
Pin
(17)
0.3740
Visually
inspect
for
wear,
damage
and
corrosion.
Any
0.3730
scratches
or
worn
areas
which
can
not
be
repaired
is
cause
for
rejection.
If
no
visible
wear
is
evident,
conduct
a
magnetic
particle
inspection
per
AIIIL-STD-1949.
Any
crack
is
cause
for
rejection.
Replace
if
wear
tolerances
are
exceeded.
Torque
Knee
Center
Hinge
Joint
Bore
(Upper)
0.3760
Replace
if
torque
knee
wear
tolerances
are
exceeded.
0.3740
Bushings
(21,
25)
Remove
all
bushings
and
inspect
bores
for
corrosion.
Coat
all
bores
with
locquic
primer
(72,
Consumable
Materials
Chart,
Section
2)
and
install
new
bushings
using
an
adhesive
(71,
Consumable
Materials
Chart,
Section
2).
Bore
(Lower)
0.3760
Replace
if
torque
knee
wear
tolerances
are
exceeded.
0.3740
E22
SECTION
5Page
57

Table of Contents

Related product manuals