EasyManua.ls Logo

Raytheon Beech Baron E55 - Page 399

Raytheon Beech Baron E55
903 pages
Print Icon
To Next Page IconTo Next Page
To Next Page IconTo Next Page
To Previous Page IconTo Previous Page
To Previous Page IconTo Previous Page
Loading...
aeechcraft
BARON
55
AND
58
SHOP
MANUAL
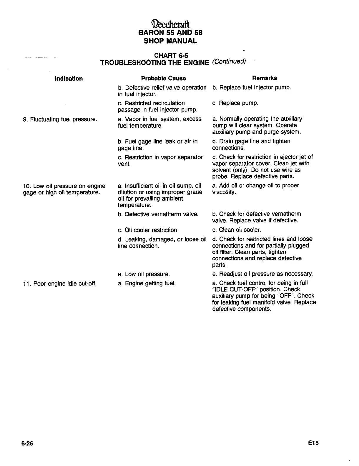
CHART
6-5
TR6UBLESH06TING
THE
ENGINE
(Continued)-
Indication
Probable
Cause
Remarks
b.
Defective
relief
valve
operation
b.
Replace
fuel
injector
pump.
in
fuel
injector.
c.
Restricted
recirculation
c.
Replace
pump.
passage
in
fuel
injector
pump.
9.
Fluctuating
fuel
pressure,
a.
Vapor
in
fuel
system,
excess
a.
Normally
operating
the
auxiliary
fuel
temperature,
pump
will
clear
system.
Operate
auxiliary
pump
and
purge
system.
b.
Fuel
gage
line
leak
or
air
in
b.
Drain
gage
line
and
tighten
gage
line,
connections.
c.
Restriction
in
vapor
separator
c.
Check
for
restriction
in
ejector
jet
of
vent.
vapor
separator
cover.
Clean
jet
with
solvent
(only).
Do
not
use
wire
as
probe.
Replace
defective
parts.
10.
Low
oil
pressure
on
engine
a.
Insufficient
oil
in
oil
sump,
oil
a.
Add
oil
or
change
oil
to
proper
gage
or
high
oil
temperature.
dilution
or
using
improper
grade
viscosity.
oil
for
prevailing
ambient
tem
perature.
b.
Defective
vernatherm
valve.
b.
Check
for
defective
vernatherm
valve.
Replace
valve
if
defective.
c.
Oil
cooler
restriction,
c.
Clean
oil
cooler.
d.
Leaking,
damaged,
or
loose
oil
d.
Check
for
restricted
lines
and
loose
line
connection.
connections
and
for
partially
plugged
oil
filter.
Clean
parts,
tighten
connections
and
replace
defective
parts.
e.
Low
oil
pressure,
e.
Readjust
oil
pressure
as
necessary.
11.
Poor
engine
idle
cut-off.
a.
Engine
getting
fuel.
a.
Check
fuel
control
for
being
in
full
"IDLE
CUT-OFF"
position.
Check
auxiliary
pump
for
being
"OFF".
Check
for
leaking
fuel
manifold
valve.
Replace
defective
components.
6-26
515

Table of Contents

Related product manuals