EasyManua.ls Logo

Raytheon Beech Baron E55 - Page 884

Raytheon Beech Baron E55
903 pages
Print Icon
To Next Page IconTo Next Page
To Next Page IconTo Next Page
To Previous Page IconTo Previous Page
To Previous Page IconTo Previous Page
Loading...
RnyCheon
Aircraft
Company
BARON
55
AND
58
SHOP
MANUAL
1
GO-HOUR
INSPECTION
(Continued)
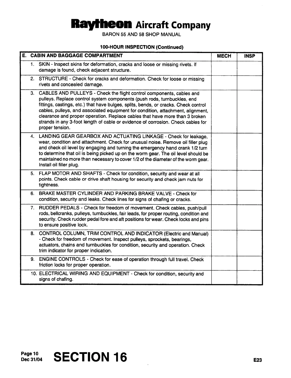
E.
CABIN
AND
BAGGAGE
COMPARTMENT
MECH
INSP
1.
SKIN
Inspect
skins
for
deformation,
cracks
and
loose
or
missing
rivets.
If
damage
is
found,
check
adjacent
structure.
2.
STRUCTURE
Check
for
cracks
and
deformation.
Check
for
loose
or
missing
rivets
and
concealed
damage.
3.
CABLES
AND
PULLEYS
Check
the
flight
control
components,
cables
and
pulleys.
Replace
control
system
components
(push
rods,
turnbuckles,
end
fittings,
castings,
etc.)
that
have
bulges,
splits,
bends,
or
cracks.
Check
control
cables,
pulleys,
and
associated
equipment
for
condition,
attachment,
alignment,
clearance
and
proper
operation.
Replace
cables
that
have
more
than
3
broken
strands
in
any
9-foot
length
of
cable
or
evidence
of
corrosion.
Check
cables
for
proper
tension.
4.
LANDING
GEAR
GEARBOX
AND
ACTUATING
LINKAGE
Check
for
leakage,
wear,
condition
and
attachment.
Check
for
unusual
noise.
Remove
oil~filler
plug
and
check
oil
level
by
engaging
and
turning
the
emergency
hand
crank
1/2
turn
to
determine
that
oil
is
being
picked
up
on
the
worm
gear.
The
oil
level
should
be
maintained
no
more
than
necessary
to
cover
1/2
of
the
diameter
of
the
worm
gear.
Install
oil
filler
plug.
5.
FLAP
MOTOR
AND
SHAFTS
Check
for
condition,
security
and
wear
at
all
points.
Check
cable
or
drive
shaft
housing
for
security
and
check
jam
nuts
for
tightness.
6.
BRAKE
MASTER
CYLINDER
AND
PARKING
BRAKE
VALVE
Check
for
condition,
security
and
leaks.
Check
lines
for
signs
of
chafing
or
cracks.
7.
RUDDER
PEDALS
Check
for
freedom
of
movement.
Check
cables,
push/pull
rods,
bellcranks,
pulleys,
turnbuckles,
fair
leads,
for
proper
routing,
condition
and
security.
Check
rudder
pedal
fore
and
aft
positions
for
wear.
Check
locks
and
pins
to
ensure
positive
lock.
8.
CONTROL
COLUMN,
TRIM
CONTROL
AND
INDICATOR
(Electric
and
Manual)
Check
for
freedom
of
movement.
Inspect
pulleys,
sprockets,
bearings,
actuators,
chains
and
turnbuckles
for
condition,
security
and
operation.
Check
trim
indicator
for
proper
indication.
9.
ENGINE
CONTROLS
Check
for
ease
of
operation
through
full
travel.
Check
friction
locks
for
proper
operation.
10.
ELECTRICAL
WIRING
AND
EQUIPMENT
Check
for
condition,
security
and
signs
of
chafing.
Page
10SECTION
16
E23

Table of Contents

Related product manuals