EasyManua.ls Logo

REFUSOL 20K-2T - Page 18

REFUSOL 20K-2T
80 pages
Print Icon
To Next Page IconTo Next Page
To Next Page IconTo Next Page
To Previous Page IconTo Previous Page
To Previous Page IconTo Previous Page
Loading...
REFUsol 20K-2T (853P020.200)
User manual
- 13 -
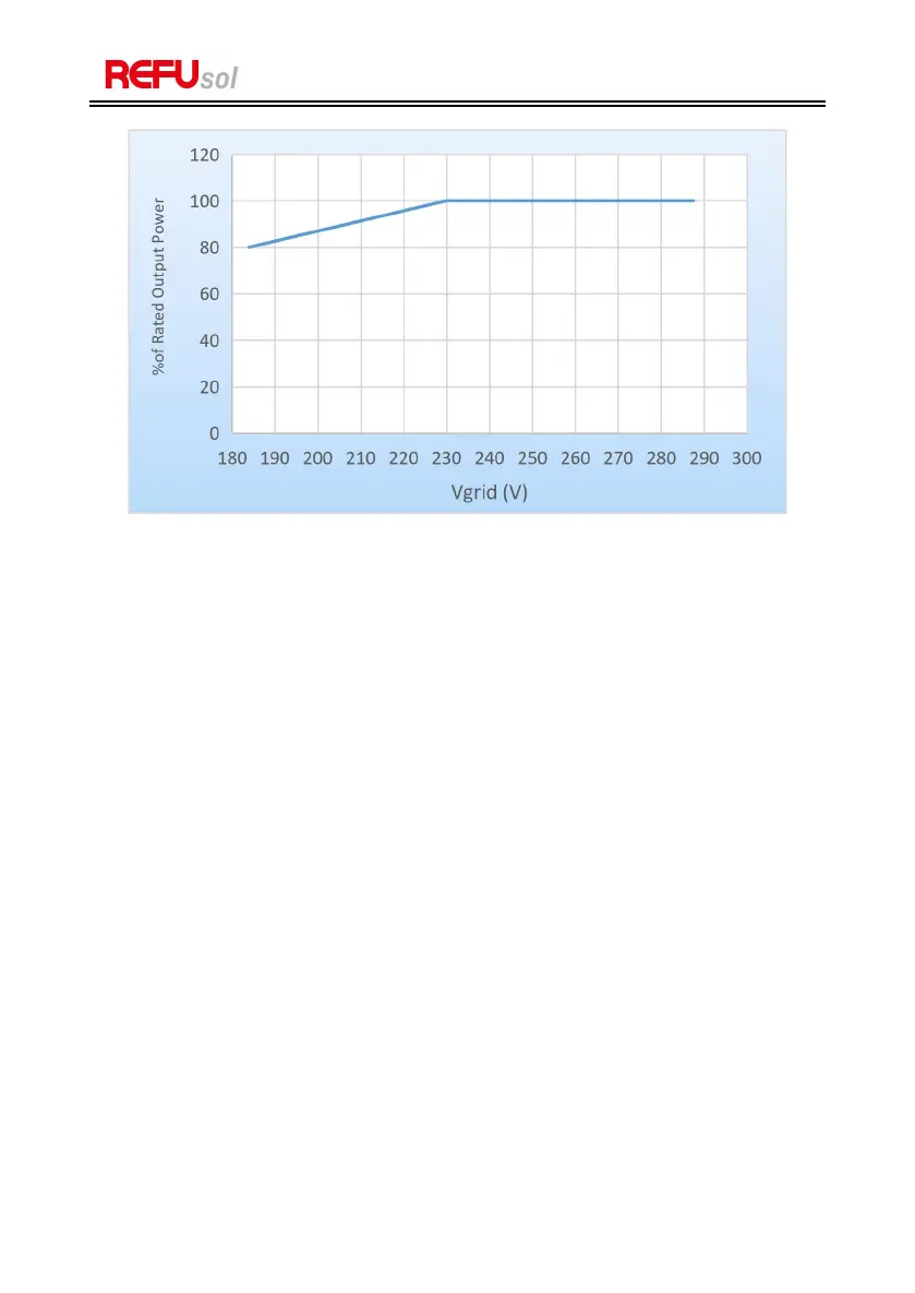
Figure 2-10 Rated Power ratio vs Grid Voltage

Other manuals for REFUSOL 20K-2T

Related product manuals