EasyManua.ls Logo

Ruud UIWH07AVFJ - Page 26

Ruud UIWH07AVFJ
217 pages
Print Icon
To Next Page IconTo Next Page
To Next Page IconTo Next Page
To Previous Page IconTo Previous Page
To Previous Page IconTo Previous Page
Loading...
¢
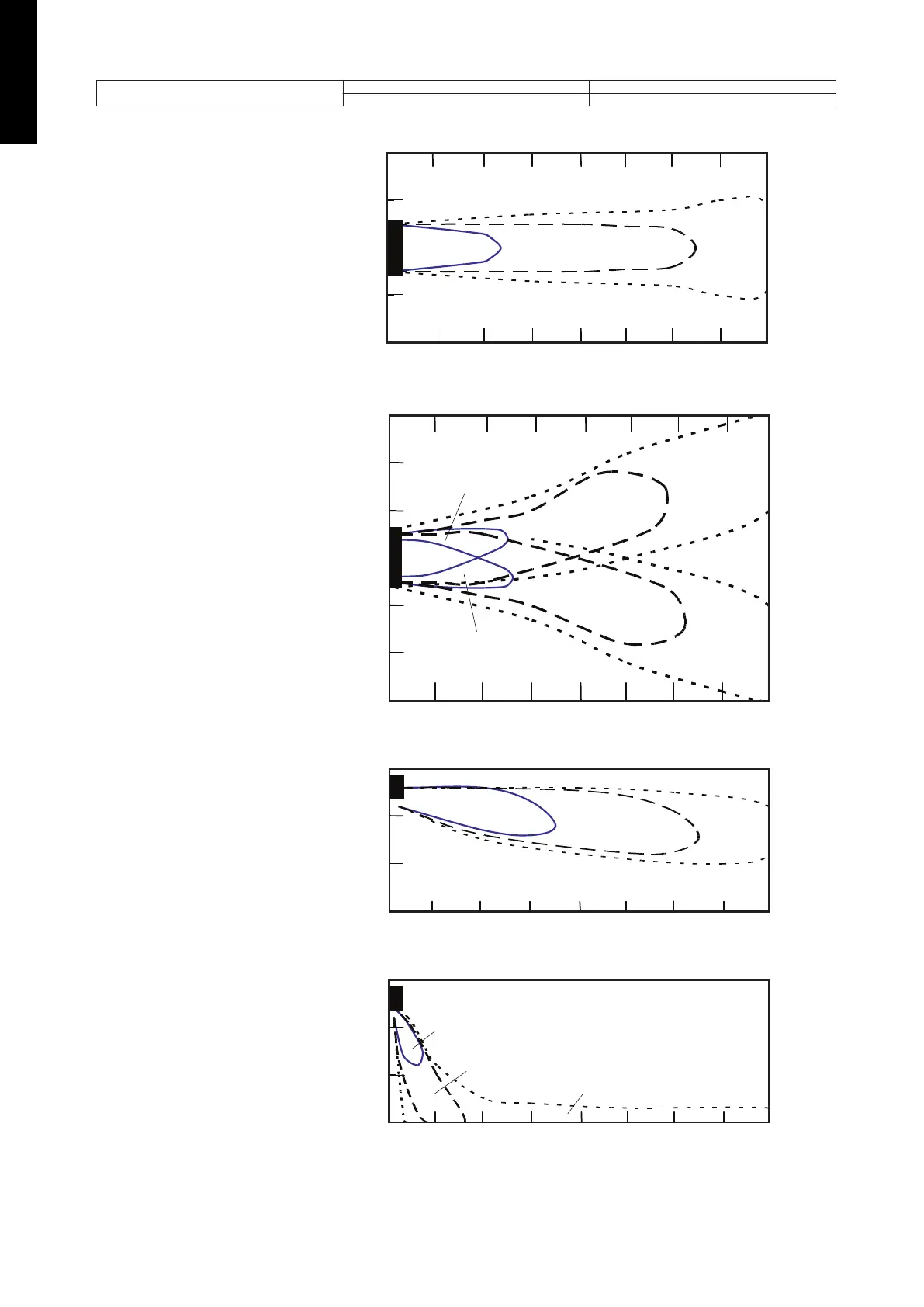
Model: UIWH24AVFJ
Measuring conditions
Fan speed Operation mode
HIGH FAN
Top view
Vertical airflow direction louver: Up
Horizontal airflow direction louver: Center
7 (2.0)
3 (1.0)
2 (0.5)
(m)(ft)
0
0
3
3
7
7
1
1
2
2
(m)
(ft)
0
0
1
3 7 10 13 16 20 23 26
2345678
Unit: ft/s (m/s)
Top view
Vertical airflow direction louver: Up
Horizontal airflow direction louver: Left & Right
7 (2.0)
7 (2.0)
3 (1.0)
3 (1.0)
2 (0.5)
2 (0.5)
Unit: ft/s (m/s)
(m)
(ft)
0
0
1
3 7 10 13 16 20 23 26
2345678
(m)(ft)
00
3
3
7
7
1
1
2
2
3
3
10
10
Side view
Vertical airflow direction louver: Up
Horizontal airflow direction louver: Center
7 (2.0)
3 (1.0)
2 (0.5)
Unit: ft/s (m/s)
(m)
(ft)
0
0
1
3 7 10 13 16 20 23 26
2345678
(m)(ft)
0
0
3
7
10
1
2
3
Side view
Vertical airflow direction louver: Down
Horizontal airflow direction louver: Center
7 (2.0)
3 (1.0)
2 (0.5)
Unit: ft/s (m/s)
(m)
(ft)
0
0
1
3 7 10 13 16 20 23 26
2345678
(m)(ft)
0
0
3
7
10
1
2
3
DESIGN & TECHNICAL MANUAL
- 18 -
MULTI TYPE
2, 3, 4 ROOMS TYPE

Table of Contents

Related product manuals