EasyManua.ls Logo

Sanyo MDF-U76V - Back-Up System (Option)

Sanyo MDF-U76V
42 pages
Print Icon
To Next Page IconTo Next Page
To Next Page IconTo Next Page
To Previous Page IconTo Previous Page
To Previous Page IconTo Previous Page
Loading...
34
TEMPERATURE RECORDER (OPTION)
Installation of MTR-G85
A temperature recorders is available for the freezer as the optional component. The type of the recorder
is MTR-G85.
Contact SANYO sales representative or agent for the installation of a temperature recorder.
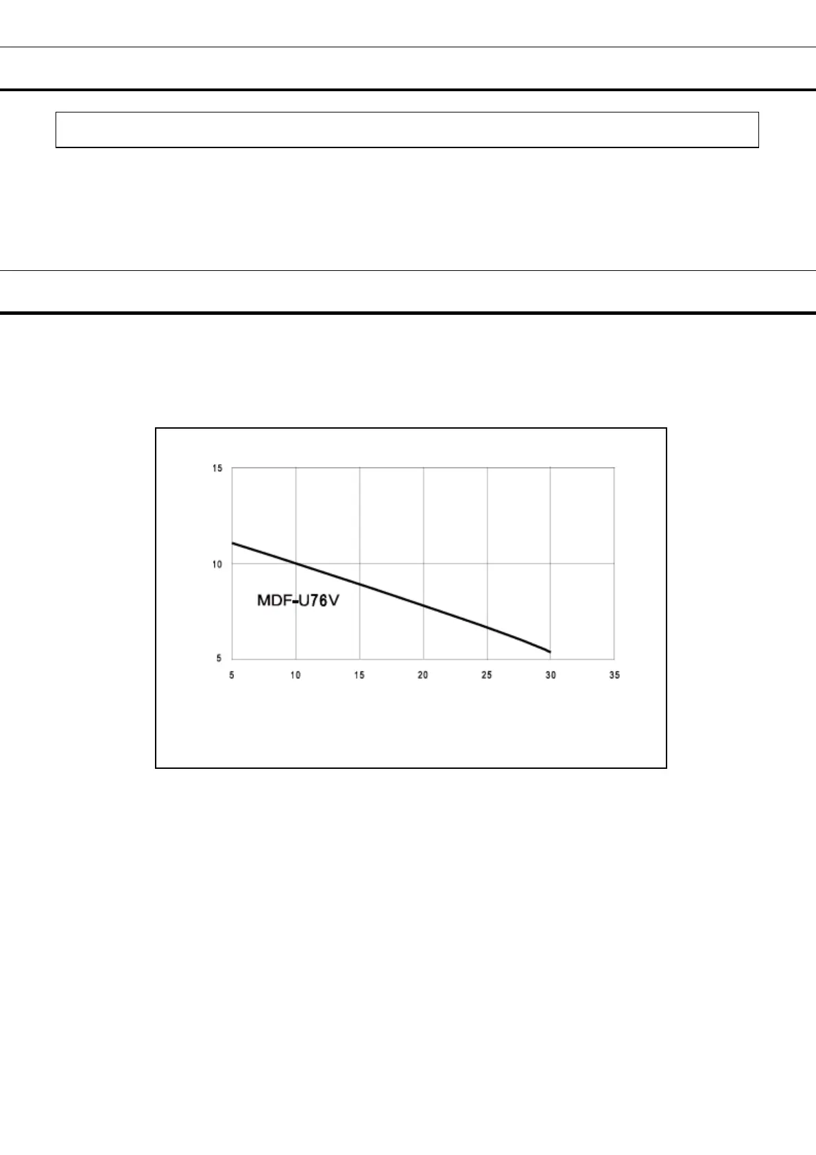
BACK-UP SYSTEM (OPTION)
Chamber temperature is the time when -70
o
C can be holding for Liquid CO
2
back-up system.
Keep a liquefied CO
2
gas cylinder at less than 31
o
C.
• The above data is the experiment value which uses liquid CO
2
gas 30L. (no-load)
Ambient temperature (
o
C)
Time (h)

Related product manuals