EasyManua.ls Logo

sauermann Si-20 - Avisos de Segurança; Nebezpečí Úrazu ElektrickýM Proudem

sauermann Si-20
16 pages
Print Icon
To Next Page IconTo Next Page
To Next Page IconTo Next Page
To Previous Page IconTo Previous Page
To Previous Page IconTo Previous Page
Loading...
3
SAFETY WARNING
Risk of electric shock. Make certain that the power supply to the unit/system is disconnected before attempting
to install, service or remove any component.
The pump unit must not be immersed in water, installed outside the premises, stored in a damp environment or
exposed to frost. This pump has not been tested for use in swimming pools or marine areas. To reduce risk of
electric shock, read instruction manual for proper installation and install the pump and all electrical components
above the top grade level of the sump.
CAUTION: This pump has been designed for use with water only.
All condensate collection elements (collection tray, connecting tubes, outlets etc…) must be cleaned thoroughly
prior to installing the pump.
The pump is supplied with:
- A self-resetting thermal cut-out set at 115°C (239°F).
- A self extinguishing body case (UL94 VO Material)
AVERTISSEMENTS DE SÉCURITÉ
Risque de choc électrique. Avant toute installation, maintenance ou démontage, mettre impérativement
l’ensemble de l’installation hors tension.
Le bloc pompe ne doit pas être immergé, ni placé à l’extérieur des locaux ou dans des lieux humides et doit être
tenu hors gel. Cette pompe n’a pas été conçue pour une utilisation dans les zones marines ou de piscines. Pour
réduire le risque de choc électrique, effectuer une installation correct en se référant à la présente notice d’instal-
lation, et installer la pompe et l’ensemble des composants électriques au dessus du niveau de l’eau.
ATTENTION : Cette pompe n’est conçue que pour fonctionner avec de l’eau.
Il est nécessaire de nettoyer les éléments collecteurs de condensats (bac du climatiseur, tubes, sorties...) avant
l’installation de la pompe.
L’ensemble est équipé:
- D’une protection thermique : déclenchement à 115°C
- D’une enveloppe auto-extinguible (matériau UL94 V0)
ADVERTENCIA
Riesgo de choque eléctrico. Asegúrese de que el suministro total de energía a la unidad / sistema, esté desco-
nectado antes de intentar instalar, reparar o quitar cualquier componente. La bomba no debe ser sumergida en
agua, instalada en el exterior, almacenada en un ambiente húmedo o expuesta a las heladas.
Para reducir el riesgo de descarga eléctrica, lea el manual de instrucciones para su correcta, instalacióninstalar la
bomba y todos los componentes eléctricos por encima de-el nivel de grado superior del sumidero.
Esta bomba no está diseñado para su uso en la piscina o áreas marinas.
ATENCIÓN: Esta bomba está pensada para ser utilizada únicamente con agua.
Todos los elementos de la evacuación de los condensados (bandeja de recogida, los tubos de conexión, enchufes,
etc....) deberán estar bien limpios antes de instalar la bomba.
La bomba se suministra con:
- Un relé térmico automático ajustado a 115° C.
- Material auto extinguible al fuego (UL94 VO Material)
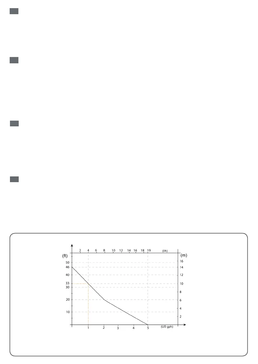
Flow Rate / Débit / Caudal / Fördermenge / Portata / hoevelheid /
Caudal / производительность / natężenie przepływu / Průtok
Discharge head / Hauteur de refoulement
Altura de descarga / Förderhöhe.
Altezza di mandata / Opvoerhoogte
Altura de descarga / высота
отведения конденсата
wysokość przepompowywania
výtlačná výška
WARNUNG
Stromschlaggefahr. Vor jedem Eingriff muss die Anlage spannungsfrei gelegt werden.
Der Pumpenblock muss berührungssicher eingebaut werden. Eintauchen oder Montage im Freien oder in
Feuchträumen ist nicht zulässig. Die Pumpe ist eisfrei zu halten. Diese Pumpe ist nicht für die Verwendung in den Pool
oder Meeresgebieten entwickelt. Diese Pumpe ist nur für die Förderung von Wasser bestimmt.
Die Kondensatauffangwanne muss vor Installation der Pumpe gereinigt werden.
Die Pumpe ist ausgerüstet mit :
- Temperaturschutzschalter : Auslösung 115°C
- Gehäusematerial selbstlöschend.
AVERTENZA DI SICUREZZA
Pericolo di scossa elettrica. Prima di qualsiasi intervento togliere imperativamente tensione all’installazione.
Il blocco pompa non deve venire immerso posto all’esterno di locali o in luoghi umidi e deve venire tenuto al
riparo dal gelo.
Questa pompa non è progettata per l’uso in piscina o le aree marine.
ATTENZIONE: Questa pompa è progettata per funzionare solo con acqua.
Prima di installare la pompa è necessario pulire gli elementi di raccolta condensa del condizionatore.
L’insieme è dotato di :
- Protezione termica : intervento a 115°C
- Contenitore auto-estinguente (materiali UL94 V0)
VEILIGHEIDSWAARSCHUWING
Gevaar voor elektrische schok Voor iedere interventie, dient de installatie afgesloten te worden van de elektrische
voeding.
Het pompblok mag in geen geval ondergedompeld worden in water noch buiten of in vochtige ruimtes geplaatst worden
en mag eveneens niet aan vorst worden blootgesteld. Deze pomp is niet bedoeld voor gebruik in het zwembad of
zeegebieden.
LET OP: Deze pomp is alleen ontworpen om te werken met water.
Het is noodzakelijk om de kondensaatbak van de airco te reinigen voor de installatie van de pomp.
Het geheel is uitgerust met:
- een thermische bescherming: uitschakeling op 115°C,
- een zelfdovende omkasting (materiaal UL94 V0)
AVISOS DE SEGURANÇA
Risco de choque elétrico. Antes de qualquer intervenção desligar imperativamente a instalação.O bloco bomba
não deve ser imerso nem colocado no exterior dos locais ou em lugares húmidos e deve ser conservado ao abrigo
do gelo. Esta bomba não foi projetado para uso na piscina ou áreas marinhas.
ATENÇÃO: Esta bomba é criada apenas para trabalhar com água.
É necessário limpar os elementos colectores de condensados do climatizador antes da instalação da bomba.
O conjunto está equipado :
- Com uma protecção térmica: disparo a 115°C,
- Com um invólucro auto-extinguível (materiais UL94 V0)
PT
ПРЕДОСТЕРЕЖЕНИЯ ПО ТЕХНИКЕ БЕЗОПАСНОСТИ
Опасность поражения электрическим током. Перед выполнением любой операции обязательно
отключите установку от электропитания.
Этот насос не предназначен для использования в бассейне или морских районах.
ВНИМАНИЕ: Этот насос предназначен только для работы с водой.
Не погружайте насосный агрегат в жидкость и не помещайте его на открытом воздухе или во влажную
среду, а также защищайте от замерзания.
Перед установкой насоса необходимо очистить детали коллектора конденсата (бак кондиционера, трубы,
выходы и т. д.).
Система оборудована :
- Тепловой защитой: срабатывание при 115 °C
- Самозатухающей оболочкой (материал UL94 V0)
OSTRZEŻENIE BEZPIECZEŃSTWA
Ryzyko porażenia prądem. Przed instalacją, konserwacją lub demontażem, należy koniecznie wyłączyć napięcie
w instalacji.
Blok pompy nie może być zanurzany, ani używany na zewnątrz pomieszczeń lub w pomieszczeniach wilgotnych.
Należy go również chronić przed zamarznięciem.
Przed instalacją pompy, należy koniecznie wyczyścić elementy kolektorów skroplin (zbiornik klimatyzatora, przewo-
dy, wyloty...).
Wyposażenie zestawu:
- Zabezpieczenie termiczne: włączanie przy 115°C,
- Powłoka samogasnąca (materiał UL94 V0).
PL
RU
BEZPEČNOSTNÍ UPOZORNĚNÍ
Nebezpečí úrazu elektrickým proudem. Před každou instalací, údržbou nebo demontáží povinně celé
zařízení odpojte.
Čerpadlo nesmí být ponořeno do vody nebo umístěno mimo vnitřní prostory budovy, nesmí být skladováno ve
vlhkém prostředí a musí být chráněno před mrazem.
Je nutné vyčistit sběrací prvky kondenzátů (nádrž klimatizační jednotky, hadice, výstupy…) před instalací
čerpadla.
Systém je vybaven:
- tepelnou ochranou: spuštění při 115°C,
- samozhášecím obalem (materiál UL94 V0).
CZ
N745_00_Edition1550.indd 3 08/01/2016 16:30:07

Related product manuals