EasyManua.ls Logo

Scotsman CSE60 - GRAPH OF SYSTEM PRESSURES

Scotsman CSE60
18 pages
Print Icon
To Next Page IconTo Next Page
To Next Page IconTo Next Page
To Previous Page IconTo Previous Page
To Previous Page IconTo Previous Page
Loading...
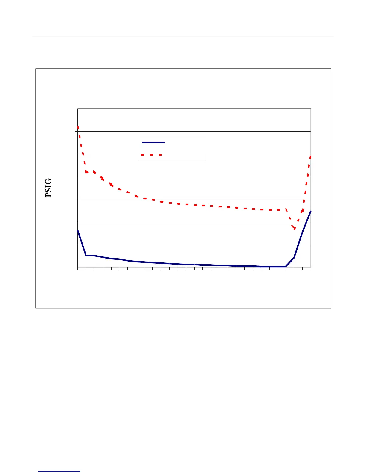
GRAPH OF SYS TEM PRES SURES
CSE60
June 2001
Page 13
This graph shows the system pressures during one full cycle at 90
o
F. Air and 70
o
F. water.
CSE60
0
50
100
150
200
250
300
350
0 2 4 6 8 10 12 14 16 18 20 22 24 0 2
Time
Low Side
High Side
Typical ice weight per batch: 1 lb. 1 oz.

Related product manuals