EasyManua.ls Logo

Sequential prophet 5 - Amplifier Envelope Controls

Sequential prophet 5
80 pages
Print Icon
To Next Page IconTo Next Page
To Next Page IconTo Next Page
To Previous Page IconTo Previous Page
To Previous Page IconTo Previous Page
Loading...
29
Prophet-5 User’s Guide
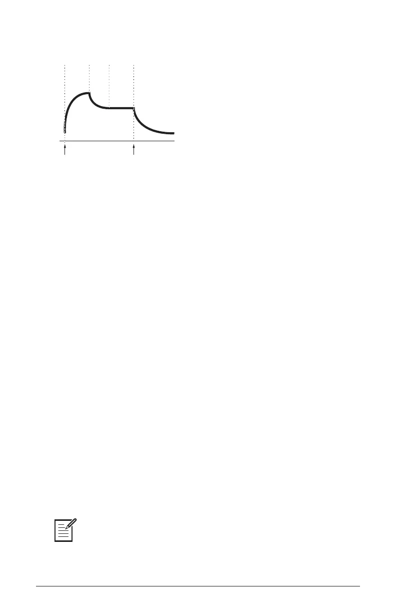
Amplier Envelope
attack
decay
sustain
release
amplitude
time
note offnote on
A typical 4-stage ADSR envelope
As noted previously, the Amplier Envelope often works in conjunction
with the Filter Envelope, with the Filter Envelope controlling how the
lter opens and closes and the Amplier Envelope controlling how the
Amplier controls the overall volume shape of the sounds you create.
Amplier Envelope Controls
Attack: 0...10—Sets the attack time of the envelope. The higher the
setting, the slower the attack time and the longer it takes for a sound to
reach its full volume. Pads typically have softer (longer) attacks. Percus-
sive sounds have sharper (shorter) attacks.
Decay: 0...10—Sets the decay time of the envelope. After a sound
reaches its full volume at its attack stage, decay controls how quickly the
sound transitions to the level set with the sustain control. The higher the
setting, the longer the decay. Percussive sounds, such as synth bass, typi-
cally have shorter decays.
Sustain: 0...10—Sets the sustain level of the envelope. The higher the
setting, the louder the sustained portion of the sound will be. The sound
will stay at this level for as long as a note is held on the keyboard.
Release: 0...10—Sets the release time of the envelope. This controls
how quickly a sound dies out after a note is released.
The release switch affects the behavior of the Release stage of the Filter and
Amplier Envelopes. See “The Release Switch” on page 43.

Table of Contents

Other manuals for Sequential prophet 5

Related product manuals