EasyManua.ls Logo

Sigma 980 - SCADA-Modbus No-Response Troubleshooting Flow Chart (3 of 5)

Sigma 980
168 pages
Print Icon
To Next Page IconTo Next Page
To Next Page IconTo Next Page
To Previous Page IconTo Previous Page
To Previous Page IconTo Previous Page
Loading...
Appendix E
Page 145
SCADA-Modbus® System Guidelines
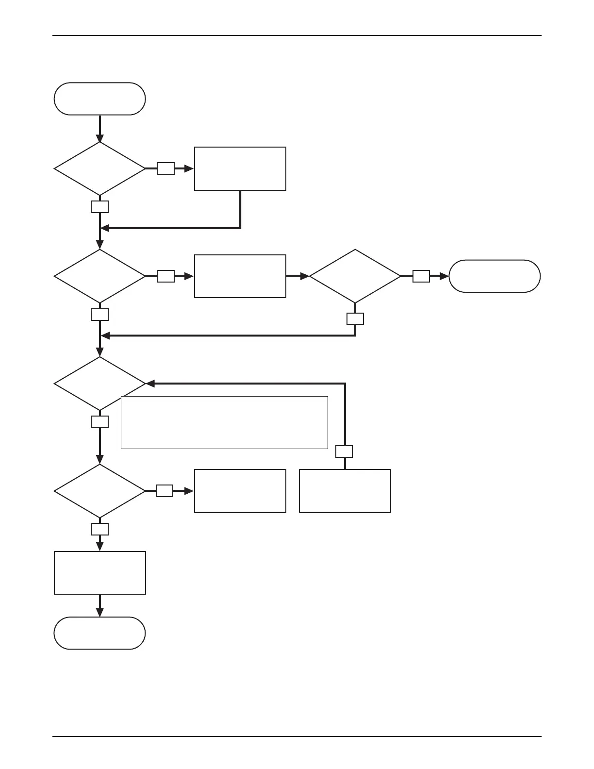
980 SCADA-Modbus “No-Response” Troubleshooting Flow Chart (3 of 5)
Continued from sheet 2.
Congratulations!
You have fixed it.
Change the Modbus device
address of the 980 in the
"Communications Setup"
menu of the 980.
Disable the handshaking in the
Master device and/or jumper
out the handshaking terminals
in the RS-232 cable.
Call our tech support
at 800-635-1230
or
Outside the U.S.A. & Canada,
call +1-970-669-3050
Calculate the correct number
of registers needed for the
data types being returned and
then change the polling
request accordingly.
Swap the RX and TX lines
on the serial cable
connected to the 980.
Does the
address of the Modbus
message correspond to the
address assigned
to the 980?
Does the
Master device use
hardware or software
handshaking?
Are the
correct number of
registers being requested
for the data type
returned?
Does the
980 communicate
correctly with the
InSight software?
Is the 980
responding now?
YES
NO
YES
YES
NO
NO
YES
NO
NO
YES
To ensure the integrity of the data being returned, the 980 checks to make sure
the number of registers being requested coincides with the data type being
returned. If there are inconsistencies the meter will ignore the polling message.
For example, Floating point data requires 2 registers per value. Enumerated
and Integer data requires 1 register per value. Long integers require 2 registers
per value. The meter would ignore a request for just one floating point value
if the number of registers requested was only one instead of 2.
Continued on sheet 4.

Table of Contents