EasyManua.ls Logo

Sigma 980 - SCADA-Modbus No-Response Troubleshooting Flow Chart (4 of 5)

Sigma 980
168 pages
Print Icon
To Next Page IconTo Next Page
To Next Page IconTo Next Page
To Previous Page IconTo Previous Page
To Previous Page IconTo Previous Page
Loading...
Page 146
SCADA-Modbus® System Guidelines
Appendix E
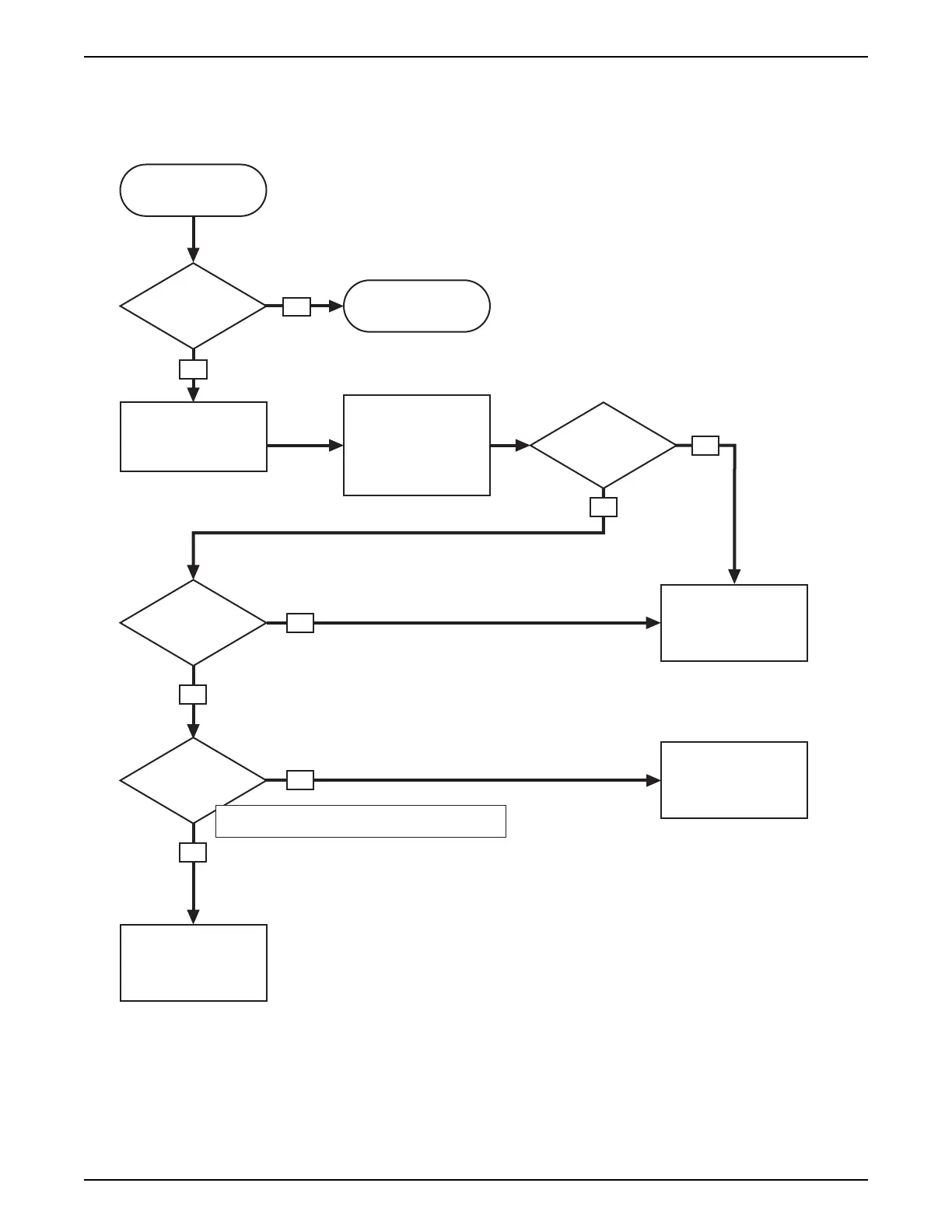
980 SCADA-Modbus “No-Response” Troubleshooting Flow Chart (4 of 5)
Congratulations!
You have fixed it.
Use either a protocol analyzer
or a communications program
such as Windows Terminal or
Comit running on a PC in place
of the 980 to intercept and verify
the Modbus polling request
being sent from the Master
device to the 980.
The problem is in either the
Modbus Master (polling) device
or the communications media.
Correct problem and then
check for a response again.
Either change the Modbus
device address of the 980 or
change the address in the
Modbus server.
Make a note of the Modbus
message and then call our
tech support to have the
Modbus message validated.
Put the RX and TX
wires back to the way
they were before.
Is the
980 responding now?
Does the
Modbus message start
with a colon and end with
a carriage return and
Line Feed pair?
Does the
message address
match the Modbus device
address of the
980?
Is the Modbus
message
being received?
YES
YES
YES
YES
YES
YES
YES
NO
NO
NO
NO
The first two characters in the message, after the colon, denote
the Modbus device address in Hexadecimal.
Continued from sheet 3.

Table of Contents