EasyManua.ls Logo

STIEBEL ELTRON WPF 13

STIEBEL ELTRON WPF 13
80 pages
To Next Page IconTo Next Page
To Next Page IconTo Next Page
To Previous Page IconTo Previous Page
To Previous Page IconTo Previous Page
Loading...
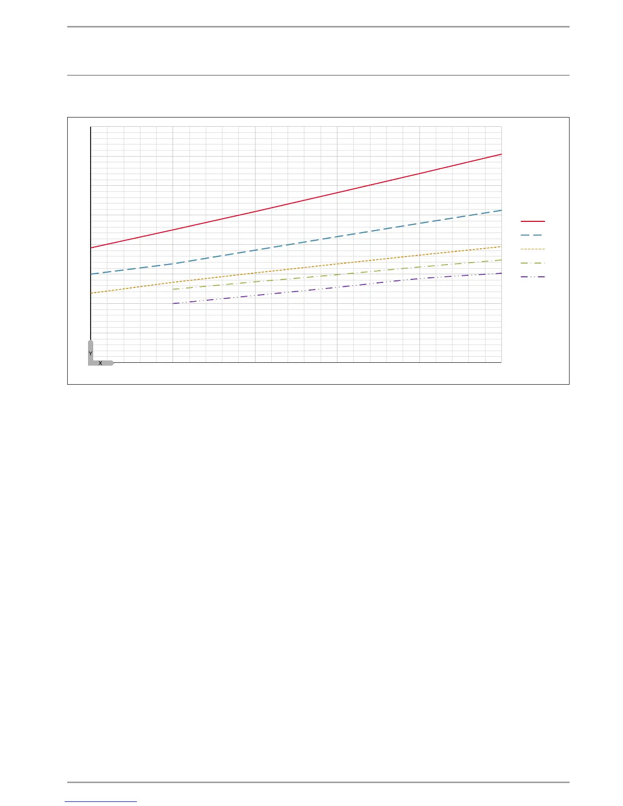
www.stiebel-eltron.com WPF | WPF cool | 53
INSTALLATION
Specication
COP
0
1
2
3
4
5
6
7
8
-5 0 5 10 15 20
1
2
3
4
5
D0000033166

Table of Contents

Other manuals for STIEBEL ELTRON WPF 13

Related product manuals