EasyManua.ls Logo

TagMaster XT-3 - Page 21

Default Icon
28 pages
Print Icon
To Next Page IconTo Next Page
To Next Page IconTo Next Page
To Previous Page IconTo Previous Page
To Previous Page IconTo Previous Page
Loading...
XT-3 Reader Installation Manual & Data Sheet Doc no. 11-267 02
© TagMaster NA 21 (28)
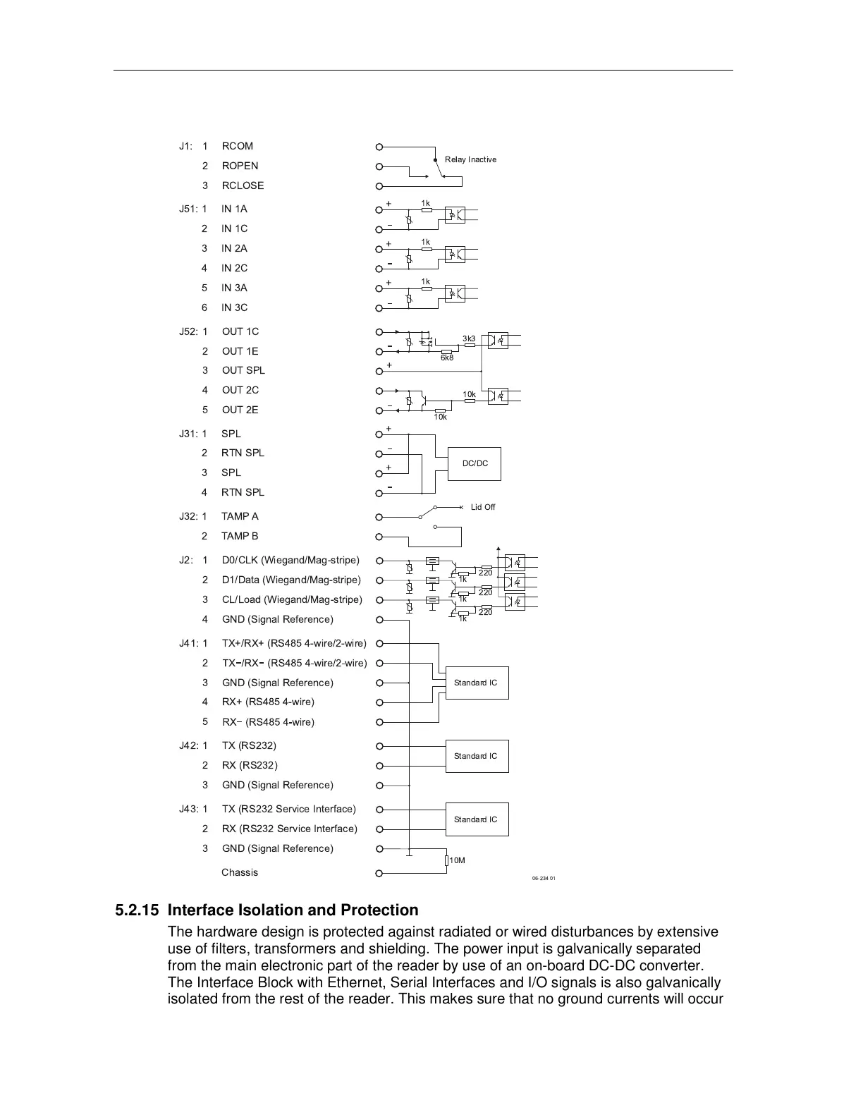
5.2.14 Internal Interface Schematics
J41: 1
2
3
4
TX+/RX+ (RS485 4-wire/2-wire)
GND (Signal Reference)
RX+ (RS485 4-wire)
5
J42: 1
2
3
TX (RS232)
RX (RS232)
GND (Signal Reference)
J43: 1
2
3
TX (RS232 Service Interface)
RX (RS232 Service Interface)
GND (Signal Reference)
Standard IC
Standard IC
Standard IC
J2: 1
2
3
4
D0/CLK (Wiegand/Mag-stripe)
D1/Data (Wiegand/Mag-stripe)
CL/Load (Wiegand/Mag-stripe)
GND (Signal Reference)
220
220
220
1k
1k
1k
J1: 1
2
3
RCOM
ROPEN
RCLOSE
Relay Inactive
06-234 01
J52: 1
2
3
4
5
OUT 1C
OUT 1E
OUT SPL
OUT 2C
OUT 2E
6k8
3k3
10k
10k
J51: 1
2
3
4
5
6
IN 1A
IN 1C
IN 2A
IN 2C
IN 3A
IN 3C
1k
1k
1k
+
+
+
+
J32: 1
2
TAMP A
TAMP B
Lid Off
J31: 1
2
3
4
SPL
RTN SPL
SPL
RTN SPL
DC/DC
+
+
Chassis
10M
5.2.15 Interface Isolation and Protection
The hardware design is protected against radiated or wired disturbances by extensive
use of filters, transformers and shielding. The power input is galvanically separated
from the main electronic part of the reader by use of an on-board DC-DC converter.
The Interface Block with Ethernet, Serial Interfaces and I/O signals is also galvanically
isolated from the rest of the reader. This makes sure that no ground currents will occur