EasyManua.ls Logo

TCL TAC-18CSD/XA81I - Page 52

TCL TAC-18CSD/XA81I
72 pages
Print Icon
To Next Page IconTo Next Page
To Next Page IconTo Next Page
To Previous Page IconTo Previous Page
To Previous Page IconTo Previous Page
Loading...
TCL Air Conditioner Service Manual
52
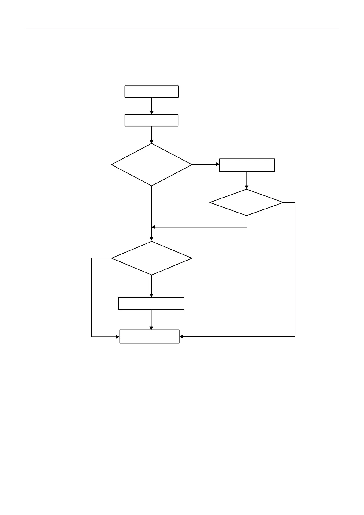
3.2.18 F4---Cooling system Gas flow abnormal protection
When compressor startup, unit will check the variation of IDU coil temperature. If there is mistake installer forgetting
to open the 2-way or 3-way valve on ODU, the gas can’t flow in the cooling system, it will show F4 protection.
Start
Display F4
Open the valve
No
End
Check the 2-way
valve and 3-way
valve opened?
No
Y
es
No
F4 disappear?
The IPT sensor
o
p
en or short?
Replace the sensor
Y
es
Y
es
No

Related product manuals