EasyManua.ls Logo

TCL TAC-18CSD/XA81I - Page 57

TCL TAC-18CSD/XA81I
72 pages
Print Icon
To Next Page IconTo Next Page
To Next Page IconTo Next Page
To Previous Page IconTo Previous Page
To Previous Page IconTo Previous Page
Loading...
TCL Air Conditioner Service Manual
57
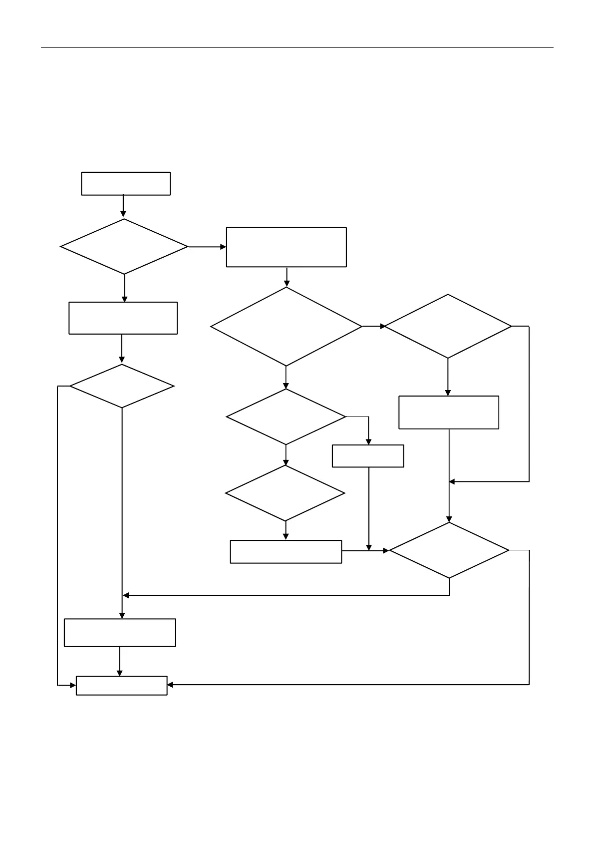
9.2.23 Fy--- Gas leakage protection
After compressor works in high frequency for 9 min, if the temperature on IDU evaporator & ODU condenser has
only a little variation comparing previous, but, the compressor discharge temperature on high level, then the unit will
show Fy failure code.
Check the pipe
connection, any gas
leakage?
Repair and charge new
gas as SPEC.
Check the room &
evaporator coil
temperature.
No
Is the temperature
difference more than
2
btw RT & IPT after
unit start 10min.?
Yes
The sensor well
connect to PCB?
Replace the sensor
Any of the evaporator
pipe blocked
No
Replace the
evaporator
Yes
Display Fy
Yes
End
Problem solved?
Replace the indoor PCB
Is malfunction
eliminated?
Yes
The sensor open
or short circuit?
Re-connect
No
No
No
No
Yes
Yes

Related product manuals