EasyManua.ls Logo

Technics SU-VX720 - Replacement Parts List - Detailed Values

Technics SU-VX720
19 pages
Print Icon
To Next Page IconTo Next Page
To Next Page IconTo Next Page
To Previous Page IconTo Previous Page
To Previous Page IconTo Previous Page
Loading...
U-VX720
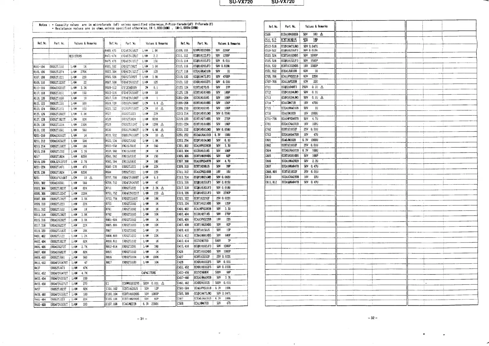
Notes
:
«
Capacity
values
are
in
microfarads
(uf)
unless
specified
otherwise,
P=Pico-farads
(pF)
F=Farads
(F)
|
*
Resistance
values
are
in
ohms,
unless
specified
otherwise,
1K=1,
000(OHM)
,
tM=1,
000k
(OHM)
Part
vo.
Values
&
Remarks
Ref.
No.
Values
&
Remarks
Ref.
No.
Part
No.
C109,
110
SOV
2200P
Cli.
112
|ECQBLHI22JF3
|
50
1200P
C113,
114
|
ECQBIHIO3JF3
C115,
116
|
ECQBLH393JF3
Cil7,
118
{ECEALHKAQ1OB
|
SOV
=
1U
C119,120
|ECQBIHA72JF3
|
SOV
4700P
C121,
122
{ECKRIHLO3ZFS
€123,124
{ECBTLH27035
|
SOV
27P
C2028
€209,
210
jiECCRIHIG1KS
|
SOV
100P
C213,
214
|ECQVLH563JM3
|
SOV
0.
056U
C219,
220
j{ECBTLH271KB5
|
50¥
270P
€221-224
|ECBTLHI8iKBS
|
SOV
180P
C231,
232
{ECQVIHS63JM3
,
SOV
0.
056U
251,252
jECEAQJKALOIB
;
6.3¥
1000
ECQVIHIO4JM3
|
SOV
0.
Part
No.
Values
&
Remarks
R469.470
ERDAF2WJ182T
-
1/4W
1.
8K
R471-474
ERDAFQVJ2R2T
1/4W
2.2
R475,476
fERDAFQVJLSIT
:
1/4W
=
150
R503,
504
|ERDAF2VIL21T
|
1/4W
120
R505,506
ERDS2TU392T
|
1/4W
3.9K
RS09-312
ESF2EXKRIOV
|
«WOO.
R513-516
EXDAF2VJ1G0T
|
518
‘EPPAF2VJ1ROT
|
520
/ERDSLFVJ6R8T
-
322
iERDSIPVJLOOT.
1/2¥
10
R527
~«=S«CEROS2T4223.
‘1/aW
22K
R528
IERDS2TJ824.
|
«1/4W
820K
R529
‘ERDS2TJ124T
|
L/W
120K
A
|ERDSIFVJ682T
|
1/20
|
R531,
532
/ERDSLFVJLOOT
:
1/2W
10
A
R533,534
ERDS2TIL82
|
1/4W
1.
8K
a
Geen
RESISTORS
R1O1-104
ERDS2TJ102
|
1/4W
1K
R105,
106
-ERDS2TJ274
|
1/4W
=
270K
R107,
108
{EROS2TJ221
|
1/4W
220
R109,
110
|EROS2TJ220T
|
1/4W
=
22
RL11-116
|ERDAS3G322T
|
1/4W
3.3K
RL17,118
|ERDS2TJ13i
|
«1/4W
150
Ri19,
120
JERDSZTJIGO
«|
1/4R
10
RI21,122
[ERDS2TS101
«|
1/4W
100
R123,
124
ERDS2TJ151
|
1/4AW
150
Ri25.126
|ERDS2TJ682T
|
1/4W
6.
8K
R127,
128
|ERDS2TJ823T
.
1/4W
82K
R129,130
{ERDS2TJ334
|
«1/4W
=
330K
RIL
132
JERDS2T561
«:«1/4W
560
R201-210
|ERDASIGIO2ZT
;
1/4W
IK
R211,
212
|ERDAS3G363T
|
1/4W
36K
AN
2
R213,
214
'ERDS2TJ183T
|
1/4¥
=
18K
R555-358
=|
ERGISJS61E
C301,
302
|ECAIHPXS3RIB
|
SOV
3.8
R215,
216
|
ERDS2TJ332
1/4W
3.2K
R539,
360
ERG
iSJ102E
;
ECCRIH101K5
SOV.
-100P
2?
He
3S
R217
ERDS2TJ824;
«1/4
=
820K
R561,
562
|ERGISJLS1E
|
iW
150
C305,
306
{ECBTIH820KBS
|
SOV 82P
R219,
220
JERDLS2VJ272T
:
1/4¥
2.
7K
R563,
564
ERGISJISIE
|
IW
180
C307,
308
{ECALHPXS4R7B}
SOV
4.70
R221-224
{ERDS2TJ471
:
1/4W
=
470
R235,
236
=
ERDS2TJ824
|
«1/4W
820K
R565-370
=
ERDS2TJ223
1/4W#
22K
|
C309,
310
=
ECBTLH390J5
OY.
|
aSP
R604
‘ERDS2TJ221
|
L/4W
220
C311,312
|ECALCPXSIO0B;)
16V
=
100
R251
ERDSiFYJLOOT
©
1/20
10
A
R707.708
,ERDAF2VJ6R8T
|
1/4W¥
6.8
C313,
314
;ECQVLHB23JM3
|
SOV
0.
082U
R301,
302
|ERDASIGS61
|
1/4W
=
360
R709,
710
:ERDAF2VJ470T
|
1/4W
47
C315,
316
«=;
ECQBIHLS3UF3
|
=
SOV
0.0150
303,
304
[ERDS2TJ823T
|
1/4W
82K
305,
306
©
ERDS2TJ224T
|
1/4¥
220K
R307,
308
©
ERDS2TJ392T
,
1/4
3.9K
R309,
310
{ERDS2TJ223.
|
1/4W
=
22K
R11,
312
}ERDS2TJ102
|
L/W
OK
R313,
314
:ERDS2TJ392T
|
1/4W
3.9K
R7il
|ERDS2TJ222
1/W
22K
AN
R751,
752
iERDAF2VJ221T
:
1/4W
=
220
AN
R753,
754
JERDS2TJ183T
<
1/4¥
18K
K
R733
-ERDS2TJ102
«|
1/4W
1
R761
-ERDS2TJ102
|
‘1/4¥
1K
R762
‘ERDS2TJ103
1/4¥
10K
C317,
318
{ECQBLH183JF3
|
SOV
0.018U
319,
320
}ECQBIH222JF3
|
SOV
2200P
(321,322
JECBTIE2232F
|
25V
0.022
C323,
324
fECBTIMI2iKBS
|
SOV
120P
401,402
iECAIHPXS3R3B
|
SOV
3.3
403,
404
|
ECCRIH271K5S
SOV.
270P
=~
ze
R315,
316
‘ERDASIG392T
1/4¥
3.9K
R801-804
=
jERDSZTJLO2
|
1/4W
1K
C405,
406
{ECAICPXS220B
,
16V
22
R317,
318
|ERDASIG223T
:
1/4¥
22K
R805,
805
iERDS2TJ103
|
1/4W
10K
C407,
408
«jECBTIH820KBS
;
SOV
82P
‘EROS2TJ102.
«1/4
AK
R810,811
ERDS2TJ102
,
1/4¥
AK
R812-814
jERDS2TJ391
|
i/4¥
=
390
1K
R815
HERDS2TJ102
=.
1/4¥
R816
‘ERDS2TJ104.
««L/4W
100K
R817
ERDS2TJ103
1/48
«10K
R319,
320
|ERDS2TJI83T
|
1/4W
18K
R401.
402
|ERDS2TJ122
:
1/4W
1.2K
R403,
404
ERDS2TJ823T
|
1/4¥
=
82K
R405.
406
.ERDAS3G272T
|
1/4¥
2.7K
R407,
408
|ERDAS3G823T
|
1/4¥
82K
R409,
410
|ERDS2TJ561
|
1/4¥
560
R411,
412
/ERDAF2VJ470T
|
1/48
47
R437
‘ERDS2TJ473.
|
«1/4¥
47K
R451.
452
'ERDAF2VJ472T
|
1/4®
4.
7K
R453,
454
jERDAF2VJ1SIT
|
1/4®
150
R455.
456
|ERDAF2VJ27iT
+
1/a®
270
ECBTIH150J5
|
SOV
15P
ECBALH68iKBS
|
50V
680P
[ECCV2H)70D
|
S00V
p
LECQBLHLO2JF3
|
SOV
1000P
426
LECBT1H102KBS
:
SOV
1000P
C427
ECBTLE2232F
{
25V
0.022U
(428
ECKRIHI032F5
|
SOV
0.
D1U
/ECKRIH3332F5
|
50V
0.0330
IECCVZHB8OK
|
SOOV
—-68P
2/2
=(&5
ri
wo
-_
|
=
ae
ro]
oO
oa]
o>
re
|
oe
—-
|
ee
on}
co
~)]
>
es
|
on
|
:
‘CAPAC!
TORS
C!
‘ECKWNSIO3ZVS
;
500V
0.01L
A
101,102
‘ECBTIHI20J5
|
350V.
12P
R457
‘ERDS2TJ823T
|
i/4W
82K
€501-504
“ECAQJPXSI01B
;
6.3¥
=
100U
VERDAF2VJ101T
|
106
C103,
104
‘ECBTLHIO2KB5
©
30¥
1060P
C505,
506
=:
ECQVLHA73M3
SOV
0.
047U
‘ERDS2T!223
|
1/4W
22K
C105,
106
:EC3TIH820KBS
;
50V
82P
507
rECEAQJKALOIB
|
6.3¥
1008
R485-468
ERDAF2VJIOIT
|
1/4¥
100
C107,
108
ECAGJM222B
«|
«6.
2200U
C508
‘ECALHM470B
«=|
«SOV.
|
47U
a
ee
SU-VA/ZU
509
ECEAIHNIOOSB
;
SOV
10U
A
S1,512
(ECBTIMLGOJS
|
SOV
te?
(513-518
|ECQVIH473JM3
|
S0V
0.0470
(519-522
/ECQBIM1S3UF3
|
SOV
0.015U
€523,
524
{ECBTLH1O2KBS
|
SOV
1000P
(525,526
jECQBIHIS2JF3
;
SOV
1500P
(531,532
j}ECBTIC332KR5
|
16V¥
3300P
(351,552
|ECEALJUOIOB
|
§3¥
WwW
C705,
708
63V
2200
(707-709
|ECALJAP220B
|
63V
22U
C711
ECQE2I04KF3
|
2500
O.1U
A
712
Sov
0.1
(713
LECQV1H104JM3
|
SCV
0.1L
A
C714
*
ECAICM471B
|
16V
470U
C715"
|ECEALHKADI0B}
SOV
10
716
ECALCM102B
16V
1000U
€751-758
{ECALHPXS4R7B
|
SOV
4.
7U
761
ECEAICKAIOLB
;
16V
100U
C762
ECBTIE103Z2F
|
25V
0.
O01U
763
10V
47U
C801
ECADJM102B
|
6.3V
1000U
C802
ECBTIE1032F
|
25V
0.
O1U
C804
ECEAQJKAIOIB
|
6.3V
100U
Values
&
Remarks
E
805.
_JECBTLHLOLKBS
|
SOV
100P
806
ECEALHKAZR2B
}
S0V
2.20
807
ECEAIHKARA7B
(808,
809
|
ECBTLE1032F
C810
ECEAICKA220B
a
ae
2a,
a
a
ie
eee
es
a
Saal
es
ek
Sa:
aan
ee
eee
ae
ae
er
Se:
ey,
ee
ee:
7
a
2
eR
Sacro
eRe
eer
=
a
ess
a
Sere
Sealer
ae
ea
Saal
Saar
aan
mes:
A
aed
eS
ae
eee
Re
ees
eee
ie
ee
oa
a
ea
Sa
a
ee
-~32-

Related product manuals