EasyManua.ls Logo

Tektronix 2246 - Page 11

Tektronix 2246
64 pages
To Next Page IconTo Next Page
To Next Page IconTo Next Page
To Previous Page IconTo Previous Page
To Previous Page IconTo Previous Page
Loading...
Specification—
2246
Operators
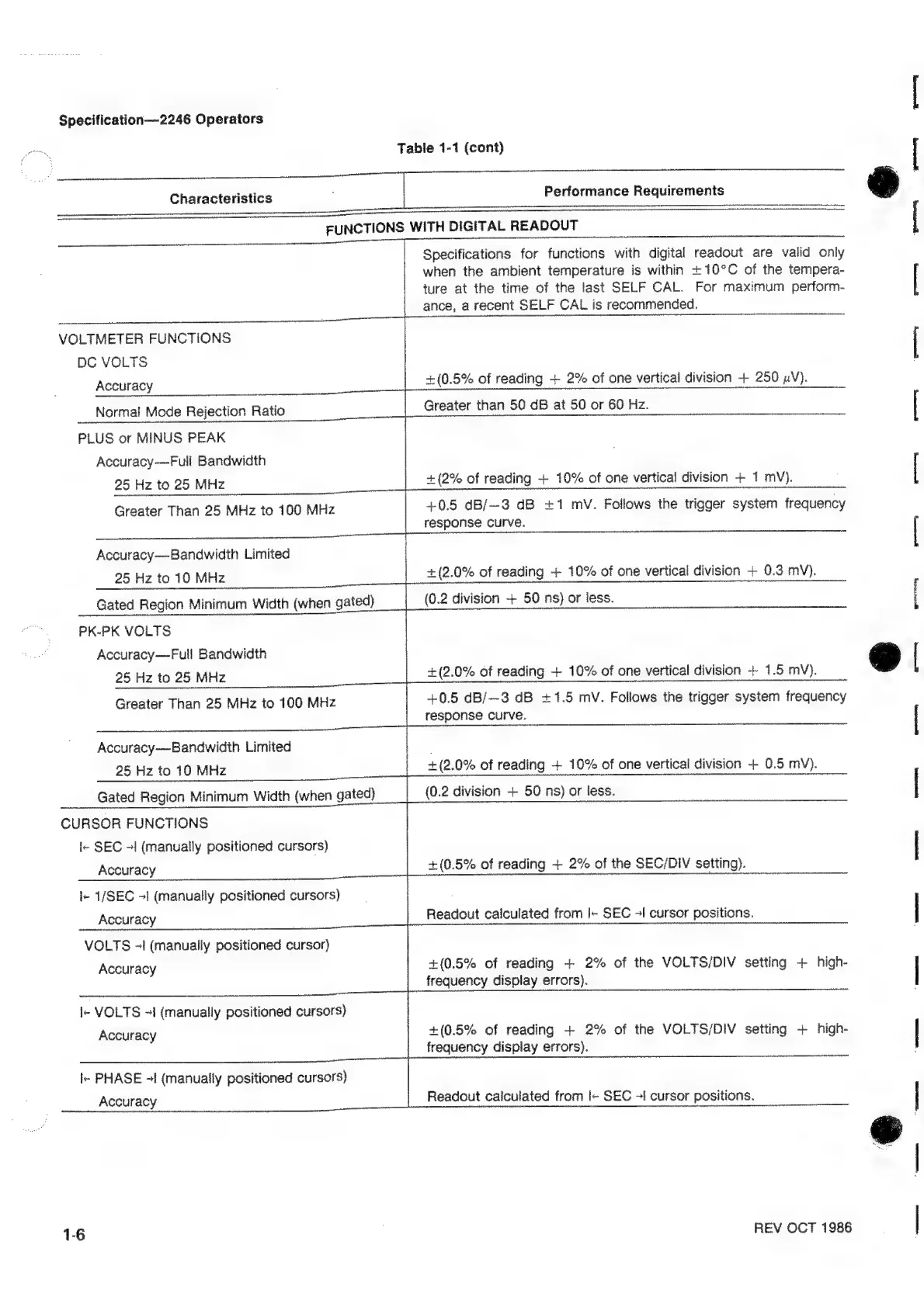
Characteristics
Table
1-1
(cont)
Performance
Requirements
FUNCTIONS
WITH
DIGITAL
READOUT
VOLTMETER
FUNCTIONS
DC
VOLTS
Accuracy
Normal
Mode
Rejection
Ratio
PLUS
or
MINUS
PEAK
Accuracy-—-Full
Bandwidth
25
Hz
to
25
MHz
Greater
Than
25
MHz
to
100
MHz
Accuracy—~-Bandwidth
Limited
25
Hz
to
10
MHz
Gated
Region
Minimum
Width
(when
gated)
PK-PK
VOLTS
Accuracy—Full
Bandwidth
25
Hz
to
25
MHz
Greater
Than
25
MHz
to
100
MHz
Accuracy-—Bandwidth
Limited
25
Hz
to
10
MHz
Gated
Region
Minimum
Width
(when
gated)
CURSOR
FUNCTIONS
i-
SEC
-I
(manually
positioned
cursors)
Accuracy
l-
1/SEC
-l
(manually
positioned
cursors)
Accuracy
|
VOLTS
-I
(manually
positioned
cursor)
Accuracy
l-
VOLTS
-1
(manually
positioned
cursors)
Accuracy
l-
PHASE
-i
(manually
positioned
cursors)
Accuracy
1-6
Specifications
for
functions
with
digital
readout
are
valid
only
when
the
ambient
temperature
is
within
+
10°C
of
the
tempera-
ture
at
the
time
of
the
last
SELF
CAL.
For
maximum
perform-
ance,
a
recent
SELF
CAL
is
recommended.
+(0.5%
of
reading
+
2%
of
one
vertical
division
+
250
uV).
Greater
than
50
dB
at
50
or
60
Hz.
+(2%
of
reading
+
10%
of
one
vertical
division
+
1
mV).
+0.5
dB/-3
dB
+1
mV.
Follows
the
trigger
system
frequency
response
curve.
+(2.0%
of
reading
+
10%
of
one
vertical
division
+
0.3
mV).
(0.2
division
+
50
ns)
or
less.
+(2.0%
of
reading
+
10%
of
one
vertical
division
+
1.5
mV).
+0.5
dB/-3
dB
+1.5
mV.
Follows
the
trigger
system
frequency
response
curve.
+
(2.0%
of
reading
+
10%
of
one
vertical
division
+
0.5
mV).
(0.2
division
+
50
ns)
or
less.
+(0.5%
of
reading
+
2%
of
the
SEC/DIV
setting).
Readout
calculated
from
l-
SEC
+I
cursor
positions.
+(0.5%
of
reading
+
2%
of
the
VOLTS/DIV
setting
+
high-
frequency
display
errors).
+(0.5%
of
reading
+
2%
of
the
VOLTS/DIV
setting
+
high-
frequency
display
errors).
Readout
calculated
from
I-
SEC
~!
cursor
positions.
REV
OCT
1986

Related product manuals