EasyManua.ls Logo

Tele System TS6213 - Problem Solver

Tele System TS6213
Print Icon
To Next Page IconTo Next Page
To Next Page IconTo Next Page
To Previous Page IconTo Previous Page
To Previous Page IconTo Previous Page
Loading...
English
TS6213
9
6 Problem solver
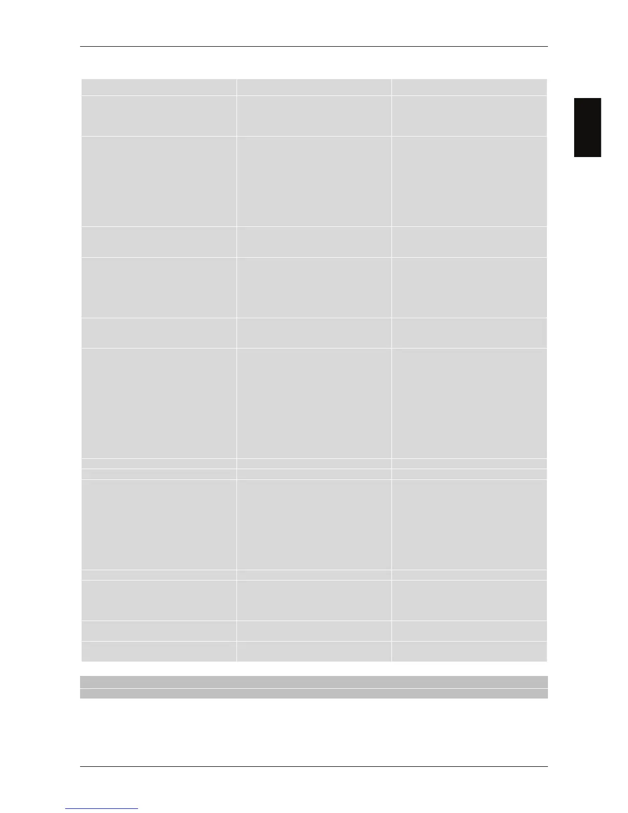
PROBLEM POSSIBLE CAUSE REMEDY
1. The receiver does not start (the
status LED on front panel is not
lighted up).
-The power lead is not plugged in.
-The power lead is plugged in but the
receiver still does not work.
-Plug in the power lead.
-Disable the electric power and check
it for damage (RISK of electric
shock!).
2. No Video or Audio signal.
-No signal or a poor signal.
-SCART cable or antenna cable not
connected properly.
-Audio volume low or zero.
-AV channel not selected on TV.
-Verify the antenna installation and
signal quality.
-Check the SCART connection.
-Make sure the TV and receiver
volumes are not set to zero.
-Make sure the AV channel is selected
on the TV (consult the TV user
manual).
3. Video on screen with green colour
shade.
-Problematic SCART cable.
-RGB not supported by the TV set.
-Replace the SCART cable.
-Change the Video Output in CVBS
from Setup - TV System menu.
4. The channel scan gives no results.
-No antenna signal.
-Your antenna system is not fully
compliant with the digital terrestrial
signal.
-Check for a signal using the receiver
menu.
-Ask for an antenna technician help.
-Manually scan for channels.
5. The settings are not saved.
-Setting changes are not confirmed
before quitting.
-Before quitting a menu, press the
confirm button to save the changes (if
any).
6. The remote control does not work.
-The receiver is in Stand-by.
-The remote control is not being
directed towards the receiver.
-The remote control batteries are flat.
-The batteries have been inserted in
the wrong direction.
-The remote control has been dropped
and its internal components have
been damaged.
-Press the STAND-BY button on the
front panel to check if the receiver is
working properly.
-Make sure nothing is obstructing the
front panel.
-Change batteries.
-Check the battery polarities.
-Contact the local dealer and buy a
new remote control.
7. You have forgotten the Password.
-Consult this manual at section 4.1.
8. Accessing the menu denied.
-Hotel Mode enabled. -See section 4.3.
9. The receiver does not interact with
the remote control buttons.
-The receiver is temporarily blocked.
-A broadcaster transmits wrong data.
-There is a problem with the remote
control.
-Unplug the mains lead of the receiver
for at least one minute and then plug it
back in.
-Reboot the box without the antenna
connection, delete the problematic
channel, then connect again the
antenna.
-Go to point 5 of this table.
10. Cannot exit the Easy Install menu.
-The password is not defined. -See chapter 3.
11. The scheduled event timer doesn’t
work properly.
-The receiver time has not been set
correctly.
-The specific program transmits a
wrong time information.
-Set the time from the menu (see
section 4.5).
12. The receiver goes down into
standby mode automatically.
-The Auto Standby function is active -Disable the automatic power-down
function (see section 4.7.1).
13. The antenna loop-through is not
working
-ANT OUT is disabled. -See section 2.2 and 4.7.2.
CAUTION
Generally, in case of dysfunctional behaviours of the receiver, a factory reset (par. 4.8) could solve the problem.

Related product manuals