EasyManua.ls Logo

Thermo Pride OPA - Page 73

Thermo Pride OPA
91 pages
Print Icon
To Next Page IconTo Next Page
To Next Page IconTo Next Page
To Previous Page IconTo Previous Page
To Previous Page IconTo Previous Page
Loading...
All installations and services must be performed by qualified service personnel.
72
Example 3:
Problem: Refrigerant measurements are made on the cooling system of a typical
GPA installation. The suction line pressure, measured at the condenser unit,
suction line, charging port, is 68 PSIG. The temperature of the refrigerant (R22)
at the evaporator suction line connection is measured as 48°F. What is the
degree of superheat for this system?
Solution: Calculate the pressure of the refrigerant at the evaporator suction line
connection. With the estimated refrigerant pressure and measured temperature
at the same point, tabulated data on R22 from the refrigerant manufacturer, or
ASHRAE, can be used to evaluate the degree of superheat.
68 PSIG (Suction pressure measured at condenser)
+ 0 PSIG (Added for pressure drop of suction line)
------------------
68 PSIG = Estimated pressure of refrigerant at evaporator exit
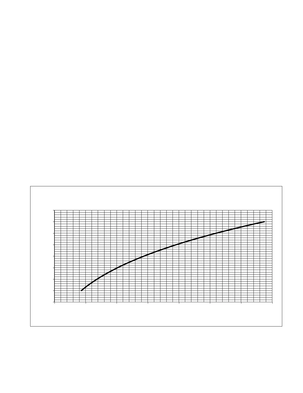
From the R22 pressure/temperature chart, Figure 16, at 68 PSIG (82.7 PSIA),
the saturation temperature is approximately 40°F
Figure 16: Saturation Temperature vs. Pressure for Refrigerant 22 (R22)
0
20
40
60
80
100
120
140
160
0.0 50.0 100.0 150.0 200.0 250.0 300.0 350.0
Pressure (PSIG)
Temperature (deg. F.)

Table of Contents

Related product manuals