EasyManua.ls Logo

Toshiba RAS-07NKHD-E - Shortening Restart Delay Timer; Setting;Cancelling Self-Cleaning Function

Toshiba RAS-07NKHD-E
86 pages
Print Icon
To Next Page IconTo Next Page
To Next Page IconTo Next Page
To Previous Page IconTo Previous Page
To Previous Page IconTo Previous Page
Loading...
FILE NO. SVM-04022
– 66 –
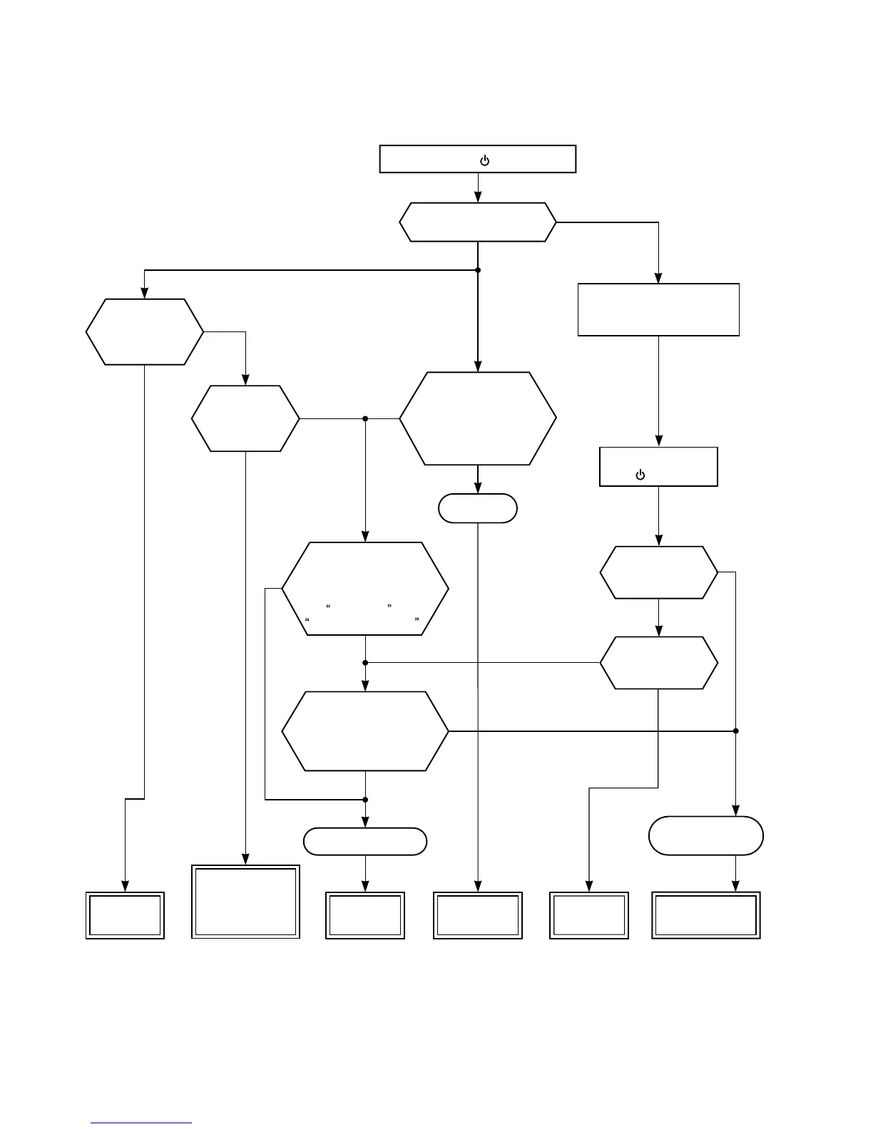
9-6. Troubleshooting for Remote Control (Including the Indoor P.C. Board)
Keep the air
conditioner away
from thyristor
fluorescent light.
Avoid direct
sunlight.
Replace
P.C. board.
Replace the
batteries.
Normal
Replace remote
control.
Note : After battery replacement,
short circuit the metal terminal at
the side of the battery compartment
(all-clear terminal) with a pencil.
Press the [ ] button.
Press the
[ ] button
Remote control
is failure.
P.C. board is failure.
Does the transmission
indicator blink?
Is there direct
sunlight on the
receptor of the
air conditioner?
Is there any
thyristor
fluorescent light
near by?
Is operation
possible when the
transmitter is moved
nearer to the infrared
signal receiver of the
air conditioner?
There is no beep from
the indoor unit.
The OPERATION lamp of
the air conditioner main
unit does not light.
Is operation
possible when setting the
RESET button of the
air conditioner main unit to
TEST RUN or
TEMPORARY AUTO ?
Battery life
Does the
transmission
indicator light?
Can any signal tone
be heard in a transistor
radio when transmitting
within 5 cm distance
from the radio?
Reset the remote control
by use the tip pencil push
in the RESET hole
NO NO
YES
NO
YES
YES
YES
YES
Is there any
beep and
operation?
YES
YES
YES
NO
NO
NO
NO
NO

Table of Contents

Related product manuals