EasyManua.ls Logo

Trane A5HP4 - Section 19. Pressure Curves

Trane A5HP4
30 pages
Print Icon
To Next Page IconTo Next Page
To Next Page IconTo Next Page
To Previous Page IconTo Previous Page
To Previous Page IconTo Previous Page
Loading...
26 88-A5HP4001-1A-EN
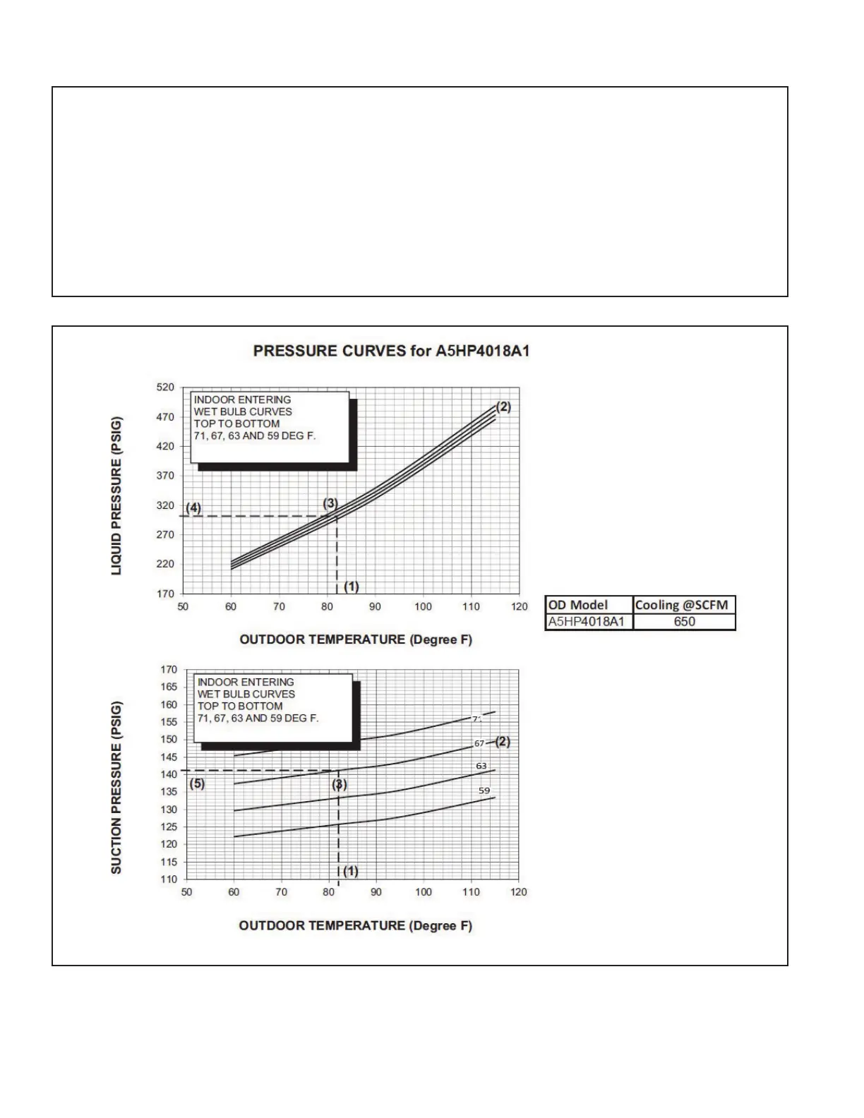
Section 19. Pressure Curves
COOLING PERFORMANCE CAN BE CHECKED WHEN THE OUTDOOR TEMP IS ABOVE 65 DEG F.
TO CHECK COOLING PERFORMANCE, SELECT THE PROPER INDOOR CFM, ALLOW PRESSURES TO STABILIZE. MEASURE INDOOR WET BULB
TEMPERATURE, OUTDOOR TEMPERATURE, DISCHARGE AND SUCTION PRESSURES. ON THE PLOTS LOCATE OUTDOOR TEMPERATURE (1);
LOCATE INDOOR WET BULB (2); FIND INTERSECTION OF OD TEMP. & ID W.B. (3); READ DISCHARGE OR SUCTION PRESSURE IN LEFT
COLUMN (4).
EXAMPLE: (1) OUTDOOR TEMP. 82 F.
(2)
INDOOR
WET
BULB
6
7
F
.
(3)
AT
INTERSECTION ACTUAL
:
(4) DISCHARGE PRESSURE @ 740 CFM IS 291 PSIG. DISCHARGE PRESSURE SHOULD BE +/- 10 PSIG OF CHART
(5) SUCTION PRESSURE @ 740 CFM IS 154 PSIG. SUCTION PRESSURE SHOULD BE +/- 3 PSIG OF CHART

Related product manuals