EasyManua.ls Logo

Trane HORIZON ABDA - Generator Solution Temperature Limit; Figure 32

Trane HORIZON ABDA
92 pages
Print Icon
To Next Page IconTo Next Page
To Next Page IconTo Next Page
To Previous Page IconTo Previous Page
To Previous Page IconTo Previous Page
Loading...
82
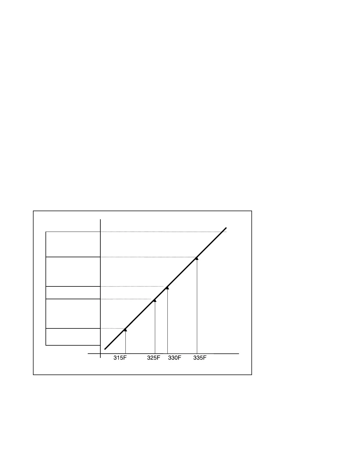
(17) Generator Solution
Temperature Limit Control
As the solution temperature increases, the control system
will limit machine energy input attempting to keep the
chiller operational. Limited energy input to the first-stage
generator begins when the strong solution leaving the
temperature exceeds 315°F.
The control system will enter limit loading from 315 to
325°F; on further temperature increase will:
hold at 325 to 330°F and
unload at 330 to 335°F and
shut down the machine above 335°F.
Operation at or above solution temperatures above 335°F
will cause rapid solution inhibitor depletion and potential
operational problems.
The resulting machine shutdown causes a manual reset-
MMR- diagnostic. The high limit must be cleared and
problem corrected before a restart is attempted. The
control range is fixed in the software.
Figure 32
Shutdown above
335°F
Unloading
Hold
Limited
loading
Unrestricted loading
Strong Solution Temperature Leaving High Temperature
Generator (HTG)

Related product manuals