EasyManua.ls Logo

Trane HUV - Page 50

Trane HUV
132 pages
Print Icon
To Next Page IconTo Next Page
To Next Page IconTo Next Page
To Previous Page IconTo Previous Page
To Previous Page IconTo Previous Page
Loading...
50 UV-PRC001-EN
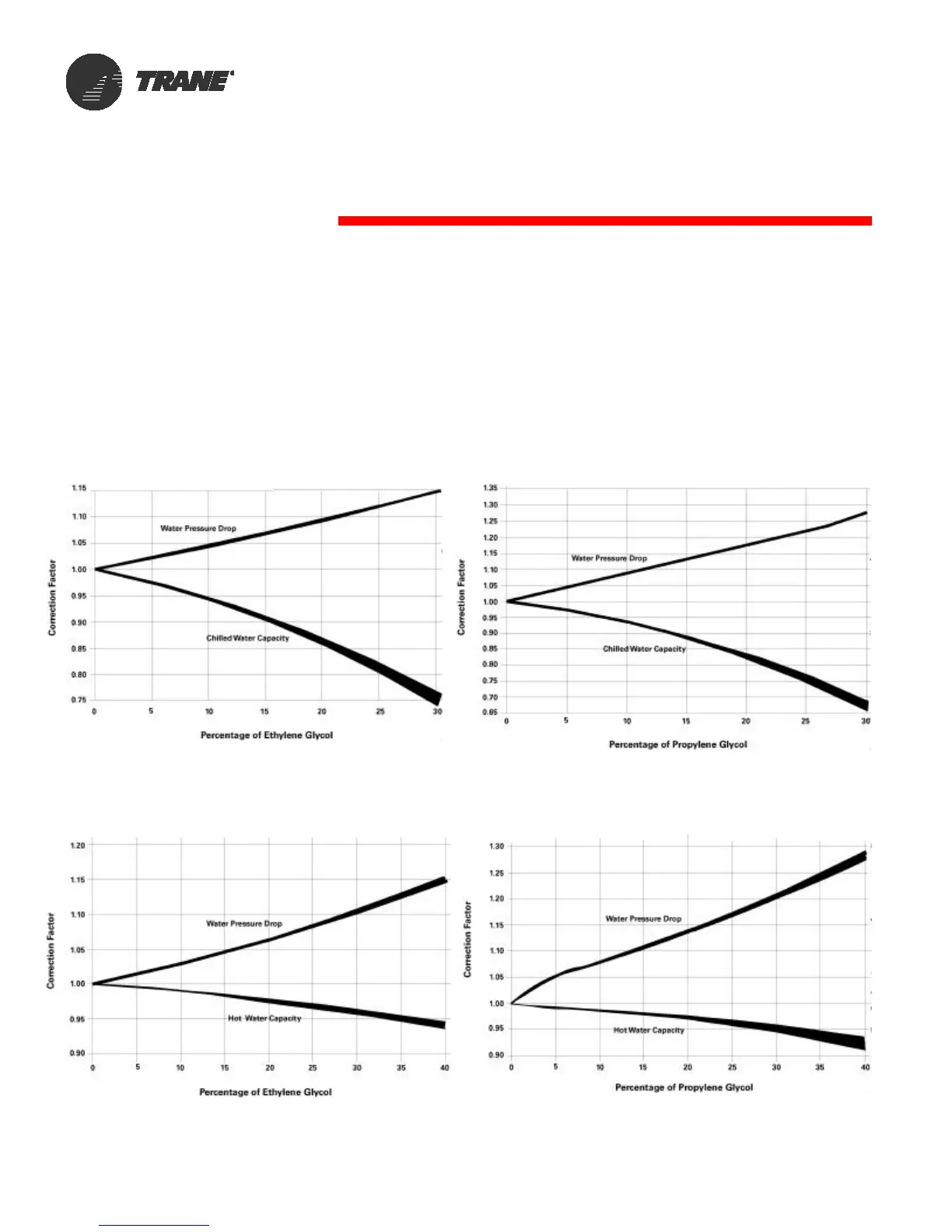
Glycol Correction Factors
The following four charts give the correction factors for capacity and water pressure drops for both ethylene
and propylene glycol. There are two charts for chilled water and two for hot water. The charts are approxima-
tions of coil performance for any Trane coil selected for a unit ventilator. The correction factor lines grow
broader as the percentage of glycol increases to include all coils in the chart. For example, a one row coil and
a four row coil will have different operating characteristics, but the correction factors are usually within 5% of
each other.(See Charts 1-4)
Selection Procedure
Glycol Adjustment Factors
Chart 1: Correction factors for Ethylene Glycol in
chilled water at a constant gpm
Chart 2: Correction factors for Propylene Glycol in
chilled water at a constant gpm
Chart 3: Correction factors for Ethylene Glycol in
hot water at a constant gpm
Chart 4: Correction factors for Propylene Glycol in
hot water at a constant gpm

Other manuals for Trane HUV

Related product manuals