EasyManua.ls Logo

Trane RTAD 125 HE - Water Treatment

Trane RTAD 125 HE
84 pages
Print Icon
To Next Page IconTo Next Page
To Next Page IconTo Next Page
To Previous Page IconTo Previous Page
To Previous Page IconTo Previous Page
Loading...
Water Treatment
CAUTION! If calcium chloride is used
for water treatment, an applicable
corrosion inhibitor must also be
used. Failure to do so may result in
damage to system components.
Dirt, scale, products of corrosion and
other foreign material will adversely
affect heat transfer between the
water and system components.
Foreign matter in the chilled water
system can also increase pressure
drop and, consequently, reduce
water flow.
Proper water treatment must be
determined locally, depending on
the type of system and local water
characteristics. Neither salt nor
brackish water is recommended for
use in Trane air-cooled Series R™
chillers. Use of either will lead to a
shortened life to an indeterminable
degree. Trane encourages the
employment of a reputable water
treatment specialist, familiar with
local water conditions, to assist in
this determination and in the
establishment of a proper water
treatment program.
Using untreated or improperly
treated water in these units may
result in inefficient operation and
possible tube damage. Consult a
qualified water treatment specialist
to determine whether treatment is
needed. The following disclamatory
label is provided on each RTAD unit:
Note: The use of improperly treated
or untreated water in this equipment
may result in scaling, erosion,
corrosion, algae or slime. The
services of a qualified water
treatment specialist should be
engaged to determine what
treatment, if any, is advisable. Trane
warranty specifically excludes
liability for corrosion, erosion or
deterioration of Trane equipment.
CAUTION! Do not use untreated or
improperly treated water. Equipment
damage may occur.
30 RTAD-SVX01F-E4
Installation - Mechanical
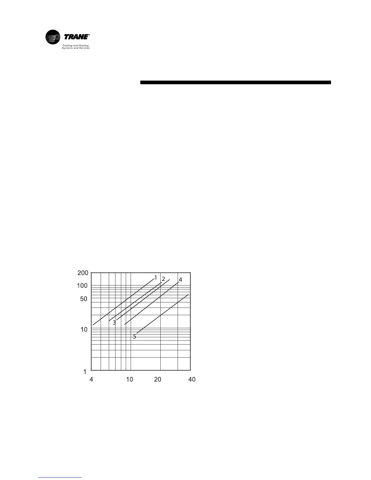
Figure 4 - Evaporator Water Pressure Drop RTAD
1 = 085 STD
2 = 115 STD, 100 HE
3 = 100 STD, 085 HE
4 = 125 STD, 145 STD, 150 STD, 115 HE, 125 HE
5 = 165 STD, 180 STD, 145 HE, 150 HE
Note: Valid for standard, Free-cooling and Heat Recovery versions
kPa
l/s

Table of Contents

Related product manuals