EasyManua.ls Logo

Ulvac GP-1G - Page 20

Ulvac GP-1G
36 pages
Print Icon
To Next Page IconTo Next Page
To Next Page IconTo Next Page
To Previous Page IconTo Previous Page
To Previous Page IconTo Previous Page
Loading...
OPERATING PROCEDURE
- 13 -
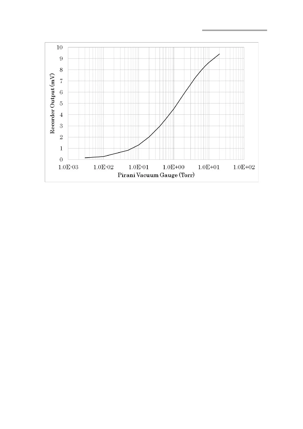
Fig. 3-1 Pressure vs. recorder output curve

Related product manuals