EasyManua.ls Logo

Val Controls IDC24-F - Partial Stroke Warnings (431-440)

Default Icon
74 pages
Print Icon
To Next Page IconTo Next Page
To Next Page IconTo Next Page
To Previous Page IconTo Previous Page
To Previous Page IconTo Previous Page
Loading...
DID-UM-002
Val Controls A/S Limfjordsvej 3 DK-6715 Esbjerg N Tel. +45 7547 0600
vc@valcontrols.com www.valcontrols.com
Revision: 10
38/74
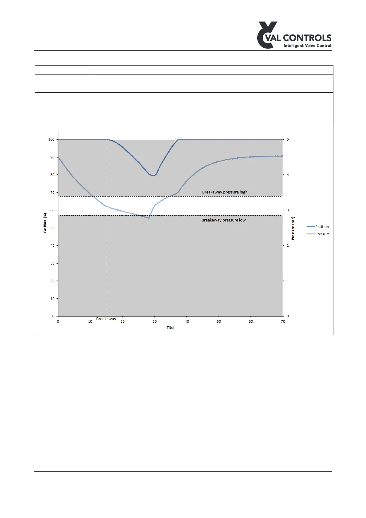
8.2 Partial stroke warnings (431 to 440)
No. 431
PST warning: Breakaway pressure is too low
Description
The breakaway pressure is lower than Breakaway pressure low
Trouble shooting
This alarm can be solved by:
Resolve the mechanical problem
Decrease the Breakaway pressure low value

Other manuals for Val Controls IDC24-F

Related product manuals