EasyManua.ls Logo

ViewSonic P90F - Troubleshooting Section 4

ViewSonic P90F
70 pages
Print Icon
To Next Page IconTo Next Page
To Next Page IconTo Next Page
To Previous Page IconTo Previous Page
To Previous Page IconTo Previous Page
Loading...
31
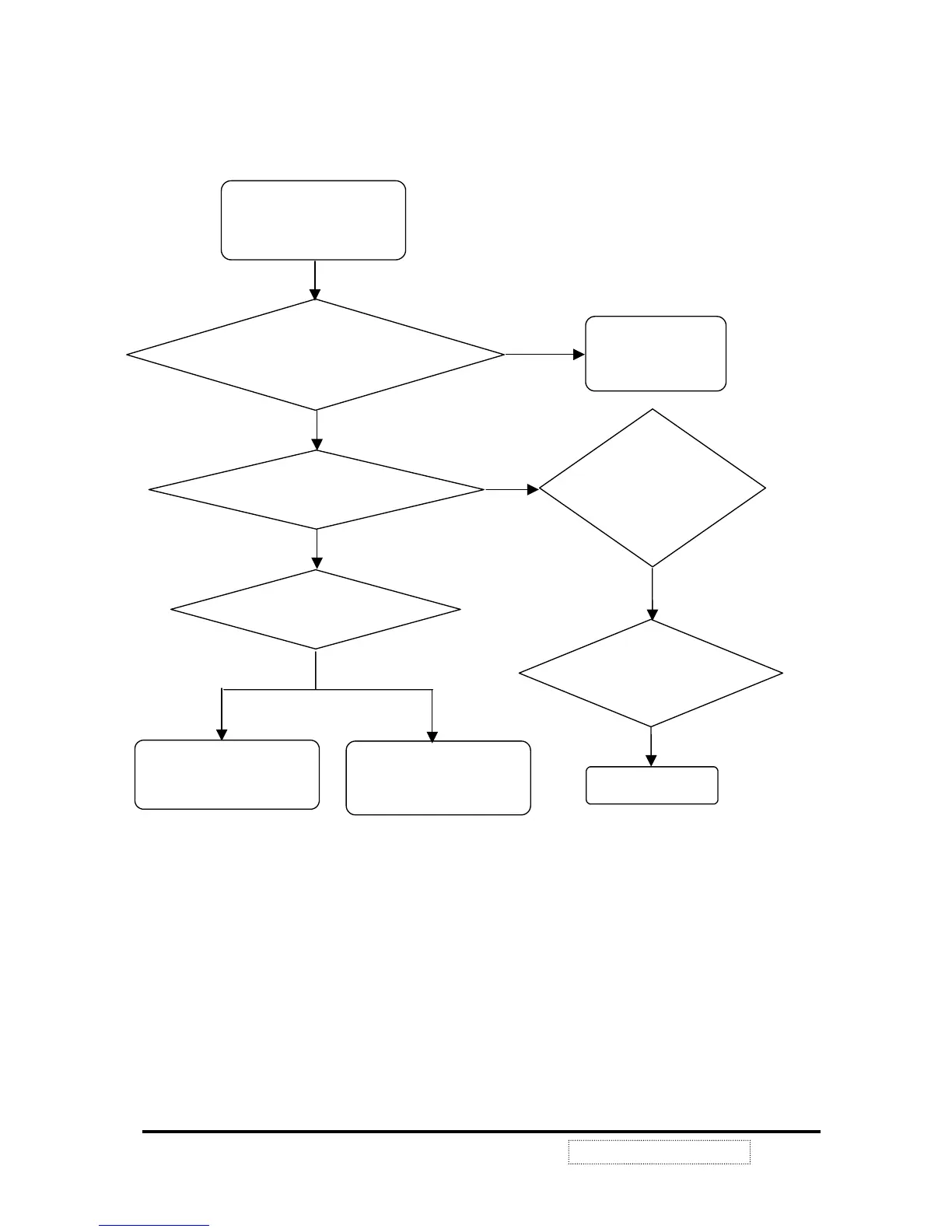
SECTION 4
G2 = 400 to 650 V
(Do not clockwise turn the
Screen VR to extreme )
No Raster
High Voltage exist
Replace
T101(FBT)
I301 Pin3
HUNLOCK HIGH ?
P410 CONNECTION
proper ?
TO SECTION 6 : Horiz.
Line, No Vert. output
TO SECTION 5 : Vert.
line, No Horiz. output
YES
No
YES
NO
YES
Check IIC bus
from Pin27,28 of
IA01 to
IA02,I301,I901
Check IA01 and its
peripheral CKT
NO
NO
Replace IA01
ViewSonic Corporation
Confidential Do Not Copy
P90f-1

Other manuals for ViewSonic P90F

Related product manuals