EasyManua.ls Logo

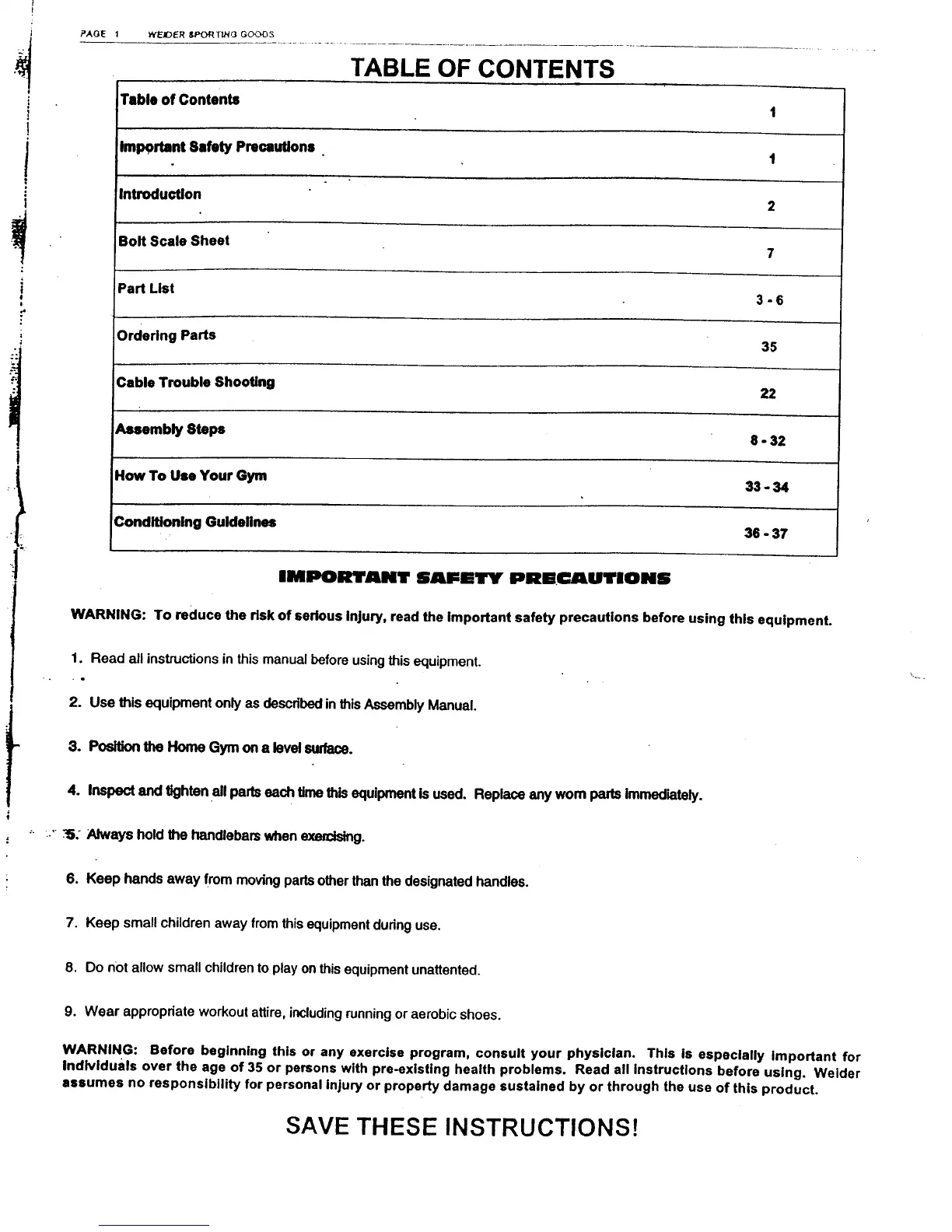
Weider X4s Power Guide - Important Safety Precautions; General Safety Guidelines

Weider X4s Power Guide
36 pages
Print Icon
To Next Page IconTo Next Page
To Next Page IconTo Next Page
To Previous Page IconTo Previous Page
To Previous Page IconTo Previous Page
Loading...

Related product manuals