EasyManua.ls Logo

Xylem HYDROVAR HV 4.110 - Page 88

Xylem HYDROVAR HV 4.110
104 pages
Print Icon
To Next Page IconTo Next Page
To Next Page IconTo Next Page
To Previous Page IconTo Previous Page
To Previous Page IconTo Previous Page
Loading...
88
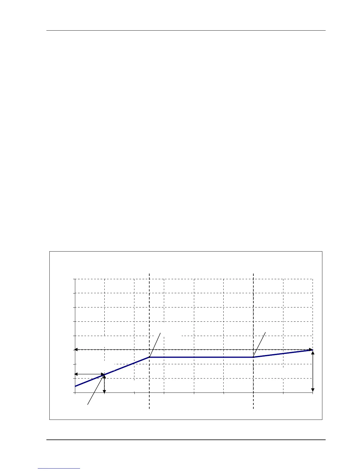
Example for using the Offset function:
Constant pressure system with required value of 5 bar.
Additionally a flow sensor is connected to the Offset input.
Parameter [907] - Offset Range = 160 (max. range of flow sensor = 16m³/h)
System requirement 1:
5 bar constant pressure while the flow rate is between 5m³/h and 12m³/h.
Below the 5 m³/h the pressure should be decreased with the limitation to have max. 2,5 bar
at a flow rate of 2m³/h.
Settings:
Parameter [0910] - Level 1 = 50 = 5m³/h (first limit where the offset function is active)
Parameter [0912] - Offset X1 = 20 = 2m³/h (fixed point according the requirements)
Parameter [0913] - Offset Y1 = 2,5 = 2,5bar (max. allowed pressure at this flow rate)
System requirement 2:
5 bar constant pressure while the flow rate is between 5m³/h and 12m³/h.
Above the 12 m³/h the pressure should be increased with the limitation to have max. 6,0
bar at max. flow rate of 16m³/h.
Settings:
Parameter [915] - Level 2 = 120 = 12m³/h (second limit where the offset function is active)
Parameter [917] - Offset X2 = 160 = 16m³/h (fixed point according the requirements)
Parameter [918] - Offset Y2 = 6 = 6bar (required pressure at this flow rate)
Required Value - Sollwertverlauf (Offseteinfluss)
0
2
4
6
8
10
12
14
16
0 20 40 60 80 100 120 140 160
Offset
Required / Sollwert
2m³/h
O
FF
S
ET Y1
OFFSET X1
OFFSET X2
OFFSET Y2
Level 1
Level 2
5m³/h
12m³/h

Table of Contents

Related product manuals