EasyManua.ls Logo

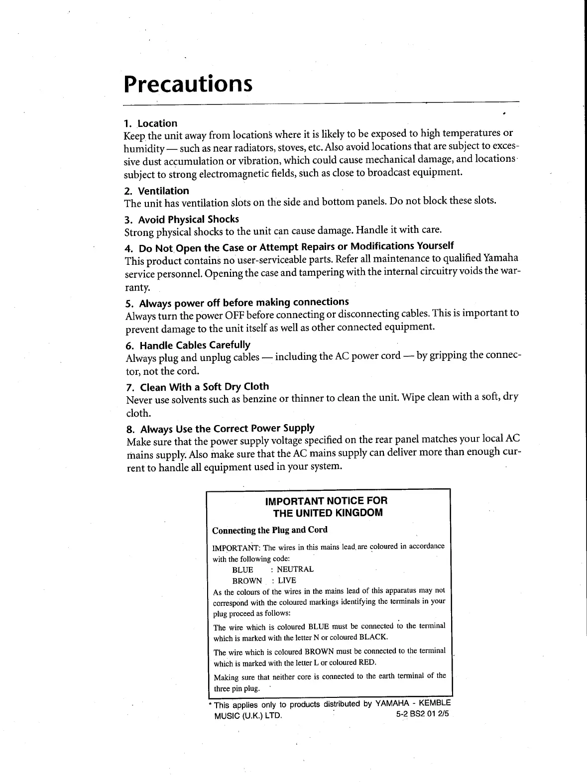
Yamaha RM800 - Precautions; Location; Ventilation

Yamaha RM800
163 pages
Print Icon
To Next Page IconTo Next Page
To Next Page IconTo Next Page
To Previous Page IconTo Previous Page
To Previous Page IconTo Previous Page
Loading...

Related product manuals