EasyManua.ls Logo

Zipro Dunk - Page 120

Zipro Dunk
Print Icon
To Next Page IconTo Next Page
To Next Page IconTo Next Page
To Previous Page IconTo Previous Page
To Previous Page IconTo Previous Page
Loading...
120
FR
Utilisez uniquement de l'eau et du savon pour nettoyer l'appareil. N'utilisez pas de produits de
nettoyage.
Conservez l'appareil dans un endroit sec et chaud.
N'exposez pas l'appareil à la lumière directe du soleil.
ENTRAÎNEMENT ET PHASES D’EXERCICE
L’utilisation du vélo vous apportera de nombreux avantages. Tout d’abord, il améliorera votre condition
physique, renforcera vos muscles et, associé à un régime alimentaire approprié, il vous permettra de brûler
les graisses corporelles superflues.
1. ÉCHAUFEMENT
Cette phase améliore la circulation sanguine dans tout le corps et prépare les muscles à un exercice plus
intense. Il réduit également le risque de crampes et de lésions. Il est conseillé de faire quelques exercices
d’étirement comme indiqué ci-dessous. Si vous ressentez une douleur, arrêtez de faire des exercices ou
réduisez l’amplitude des mouvements.
ÉTIREMENTS :
DE L’INTÉRIEUR DES CUISSES
En position assise, joignez la plante de vos pieds en écartant les genoux. Tirez vos pieds le plus loin
possible vers l’intérieur. Appuyez doucement vos genoux vers le sol et maintenez cette position
pendant 15 secondes.
ÉTIREMENT DES CUISSES
Asseyez-vous sur une surface plane. Étendez la jambe droite et plaquez la plante du pied gauche sur
l’intérieur de la cuisse de la jambe tendue. Étirez-vous le plus loin possible pour aller toucher votre
orteil droit. Comptez jusqu’à 15, puis relâchez. Répétez cet exercice avec la jambe gauche.
TOURNER LA TÊTE
Gardez la tête droite en regardant droit devant vous. Sans bouger les bras, tournez la tête vers la
droite et revenez à la position initiale et ensuite tournez la tête vers la gauche et revenez à la
position initiale.
LEVER LES BRAS
Levez votre bras gauche aussi haut que possible et maintenez-le pendant plusieurs secondes.
Répétez l’exercice avec votre bras droit.
ÉTIREMENT DU TENDON D’ACHILLE
Tournez vers un mur, le pied gauche devant l’autre. Pliez légèrement la jambe avant. Maintenez
votre jambe droite tendue et votre pied droit bien à plat au sol. Gardez les deux pieds à plat sur le
sol et avancez les hanches vers le mur. Comptez jusqu’à 30, puis relâchez. Répétez l’exercice avec
votre la jambe droite avant. Ne cambrez pas le dos pendant l’exercice.
FLEXIONS
Tenez-vous debout, les pieds joints. Penchez la partie supérieure de votre corps en avant, essayez
de rapprocher le plus possible la poitrine des genoux. Comptez jusqu’à 15, puis relâchez. Ne pliez
pas les genoux.
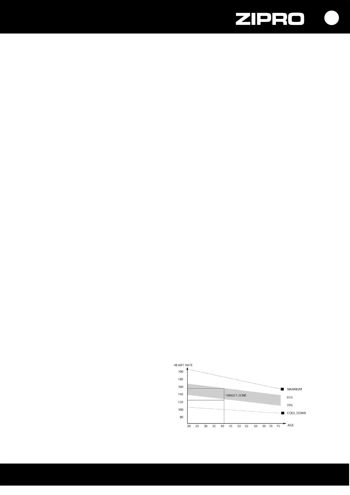
2. PHASE D'EXERCICE
C’est la phase d’entraînement proprement dite.
Faites de l’exercice à votre propre rythme pour
atteindre la fréquence cardiaque appropriée pour
votre âge, comme indiqué dans le diagramme.
3. PHASE DE DÉTENTE
Cette phase permet de calmer la circulation et de
détendre les muscles. C’est une répétition des
exercices de l'échauffement. N'oubliez pas de ne
pas forcer les muscles.

Related product manuals