EasyManua.ls Logo

Zipro Roam - Гаранционни Условия

Zipro Roam
Print Icon
To Next Page IconTo Next Page
To Next Page IconTo Next Page
To Previous Page IconTo Previous Page
To Previous Page IconTo Previous Page
Loading...
42
пода и притискайте бедрата по посока на стената. Задръжте в този
позиция ок. 30 секунди. Повторете това и с поставен напред десен
крак. Не забравяйте да държите гърба изправен по време на
упражненията.
НАКЛОНИ
Застанете със събрани крака. Направете наклон напред като се
стремите да доближите максимално гръдния кош към коленете.
Задръжте за 15 секунди. Не забравяйте да не сгъвате коленете.
2. ФАЗА НА УПРАЖНЕНИЯТА
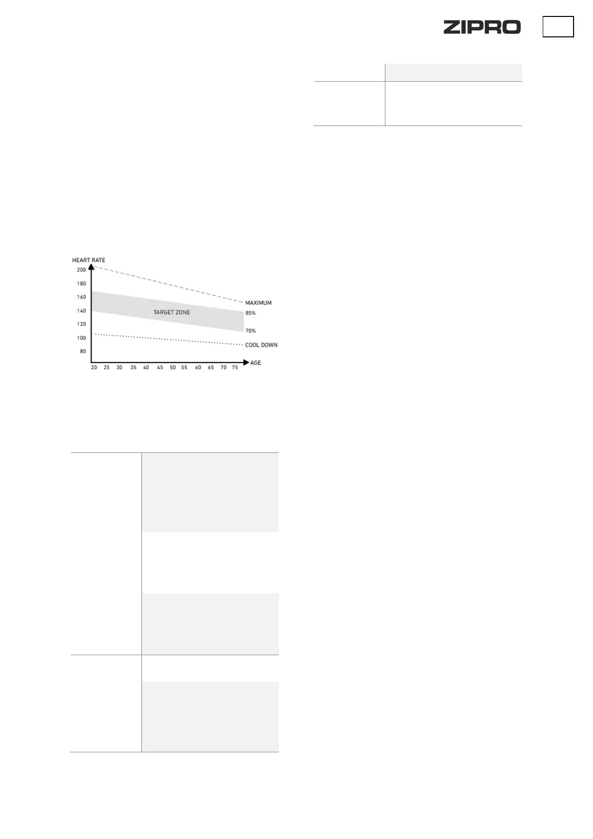
Това е същинската тренировка. Тренирайте със собственото си
темпо така, че да постигнете съответен пулс за Вашата възраст,
както е показано върху графиката по-долу.
3. ФАЗА НА ОТПУСКАНЕ
Тази фаза позволява да успокоите кръвообращението и да
отпуснете мускулите. Това е повторение на упражненията за
загряване. Не бива да забравяте, че трябва да внимавате да не
претоварите мускулите.
ВЪЗМОЖНИ ПОВРЕДИ И НАЧИНИ ЗА ОТСТРАНЯВАНЕТО ИМ
ВНИМАНИЕ! Отварянето на корпуса на уреда без предварителен
контакт със сервизния център на производителя, анулира
гаранцията. В случай на подозрение за неизправност, изискваща
отваряне на корпуса, свържете се със сервиз на производителя.
ОПИСАНИЕ НА
НЕИЗПРАВНОСТТА
ВЪЗМОЖНИ
ПРИЧИНИ
РЕШЕНИЕ
Уредът се клати
Уредът е
поставен върху
неравна
повърхност.
Под основата на
уреда се намира
предмет, който
смущава
равновесието.
Поставете уреда
върху равна
повърхност.
Отстранете
предмета, който
смущава
равновесието.
Основите не са
правилно
монтирани.
Монтирайте
основите на уреда
по правилен
начин.
Нивелирайте
обувките на
задната основа.
Обувките на
основата не са
монтирани и
нивелирани
правилно.
Монтирайте
задната основа на
уреда по правилен
начин.
Нивелирайте
обувките на
задната основа.
Шум по време на
използване
Неправилно
затегнати
елементи.
Свържете се със
сервиз на
производителя.
По време на работата на уреда може да
има тихи шумове по време на
инерционното движение на масата на
маховика, които са резултат от вида на
конструкцията. Те нямат никакво
влияние върху работата на уреда.
Потенциалните шумове, които се чуват
при въртене на педалите в обратна
посока са технически обусловени и
нямат негативни последици.
Трудно видима или
липсваща
информация на
екрана на
компютъра.
Изтощена
батерия.
Сменете
батерията.
ГАРАНЦИЯ
От името на Гаранта продавачът предоставя гаранция на
територията на Република Полша за период от 24 месеца от датата
на продажбата. Гаранцията за продадените стоки не изключва, не
ограничава и не отменя правата на Купувача, произтичащи от
Закона за правата на потребителите.
Гаранционната карта се намира на последната страница.
ГАРАНЦИОННИ УСЛОВИЯ
1. На рекламация и гаранция подлежат само скрити дефекти,
причинени по вина на производителя.
2. Гаранцията ще бъде спазена от магазина или от сервиза,
след като клиентът представи:
a. валидна, четливо и правилно попълнена
гаранционна карта с печат за продажба и подпис на
продавача,
b. валидно доказателство за покупка на уреда с датата
на продажба,
c. рекламираната стока или дефектната част.
В случай на покупка от разстояние, гаранционната
карта е валидна само въз основа на документа за
покупка (касова бележка / фактура).
3. Рекламацията ще бъде разгледана в рамките на 14 дни от
момента на съобщаване на дефекта от страна на Клиента.
4. Повредите и производствените дефекти, открити по време
на гаранционния срок, ще бъдат поправени безплатно не
по-късно от 21 дни от датата на доставка на стоката до
магазина или сервиза.
5. Ако е необходимо да се внасят части от внос,
гаранционният период за ремонт може да бъде удължен с
времето, необходимо за вноса на частите, но не по-дълго от
40 дни.
6. Гаранцията не обхваща:
a. механични повреди на продукта и дефекти,
произлизащи от тях,
b. повреди и дефекти в резултат на неправилна
употреба и съхранение, неправилно сглобяване и
поддръжка,
c. повреди и износване на елементи като: корди,
колани, гумени елементи, педали, дръжки от пяна,
колела, лагери, тапицерия.
d. дейности, свързани с монтаж и поддръжка, които,
според инструкцията за експлоатация, потребителят
е длъжен да извърши сам.
7. Гаранцията не се прилага в следните случаи:
a. изтичане на срока на валидност,
b. ремонти и модификации, направени от клиента
самостоятелно с използване на неоригинални части,
c. когато дефектът е получен в резултат на неправилна
инсталация или в резултат на неспазване на
правилата за правилна експлоатация, описани в
инструкцията за експлоатация,
d. употреба, различна от домашна употреба,
e. щети, причинени по време на транспорт.
8. Дубликати на гаранционни карти няма да бъдат издавани.
9. По силата на гаранцията клиентът има право на следните
видове услуги безплатно:
a. ремонт на продукта,
b. подмяна на продукта,
c. намаление на цената,
d. прекратяване на договора и пълно възстановяване
на направените разходи.
10. За да заявите рекламация, е необходимо:
a. Да представите продукта или неговата част,
обхванати от гаранцията.
b. Доказателство за покупка, посочващо името и
адреса на продавача, датата и мястото на покупката,
вида на продукта или валидна гаранционна карта с
печата на магазина.
c. В случай на доставка на замърсен продукт сервизът
може да откаже да го приеме или за сметка на