EasyManua.ls Logo

A&D UA-705 - Acerca de la Presión Arterial

A&D UA-705
68 pages
Print Icon
To Next Page IconTo Next Page
To Next Page IconTo Next Page
To Previous Page IconTo Previous Page
To Previous Page IconTo Previous Page
Loading...
S-12
Acerca De La Presión Arterial
¿Qué es la presión arterial?
La presión arterial es la fuerza que ejerce la sangre contra las
paredes de las arterias. La presión sistólica y diastólica corresponden,
respectivamente, al momento en que el corazón se contrae y se
expande. La presión arterial se mide en milímetros de mercurio (mmHg).
¿Qué factores afectan la presión arterial?
La Presión Arterial es afectada por muchos factores: Edad, peso, hora
del día, nivel de actividad, clima, altitud y estación temporal. Ciertas
actividades pueden alterar signicantemente la presión arterial de las
personas. Caminar puede elevar la presión arterial en los individuos.
Dormir puede bajar la presión en los individuos. No descansar o
relajarse por algunos momentos antes de tomarse la presión arterial
puede inuenciar sus lecturas también.
En adición a estos factores, bebidas que contienen cafeína o alcohol,
ciertas medicinas, stress emocional eh incluso ropas muy talladas
pueden hacer una gran diferencia en las lecturas.
¿Cuáles son las causas de las variaciones de la presión
arterial?
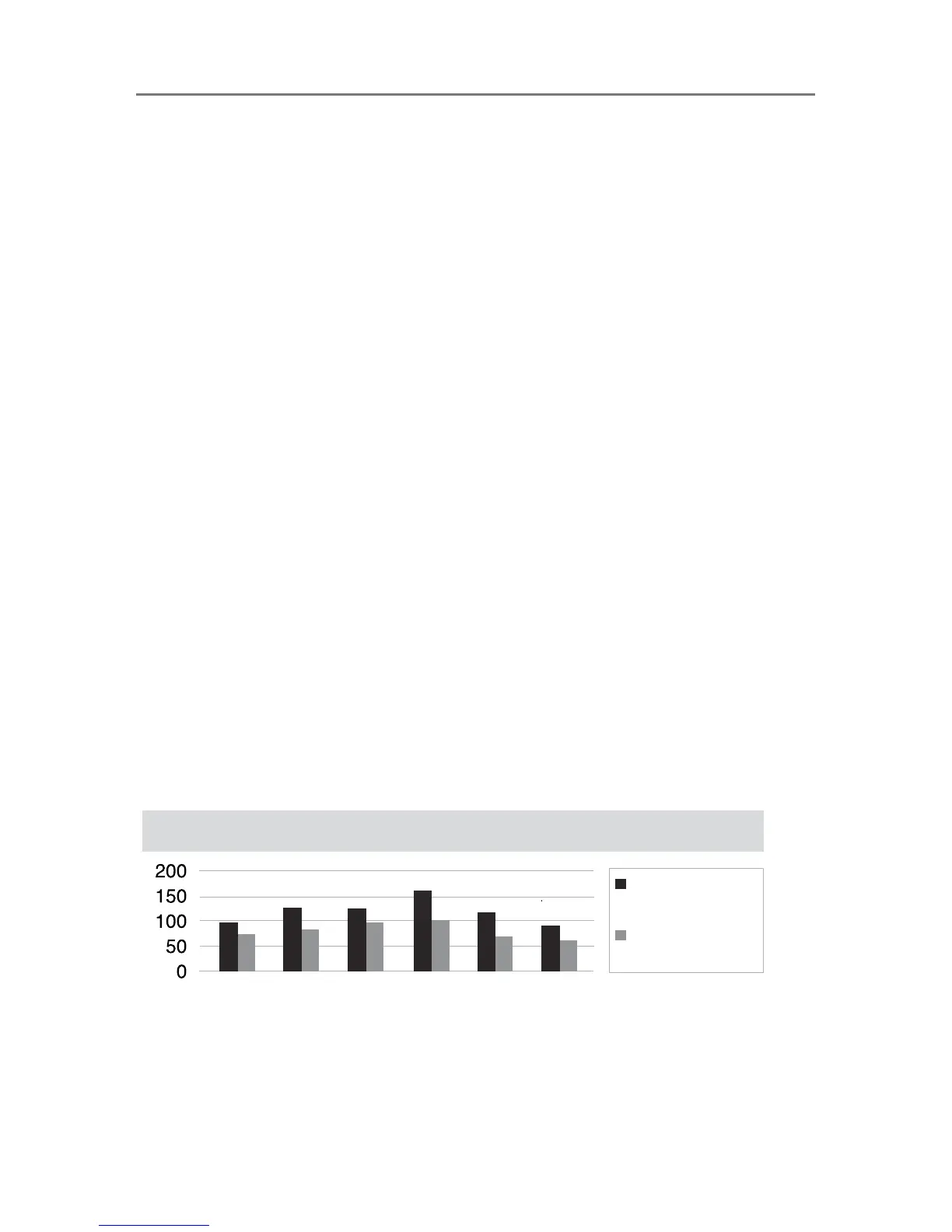
La presión arterial de una persona uctúa considerablemente de un día
a otro y de una estación del año a otra. En personas hipersensibles,
estas variaciones son aún más marcadas. Normalmente, la presión
arterial aumenta durante el trabajo o las actividades recreativas, y
desciende a su valor mínimo al dormir.
Fluctuación durante el día (caso: hombre de 35 años de edad)
Presión arterial
sistólica
Presión arterial
diastólica
Se levanta
Habla por
teléfono
Llega al
trabajo
Discute
Sale del
trabajo
Duerme

Other manuals for A&D UA-705

Related product manuals