EasyManua.ls Logo

ABB REF615 K - Page 166

ABB REF615 K
896 pages
Print Icon
To Next Page IconTo Next Page
To Next Page IconTo Next Page
To Previous Page IconTo Previous Page
To Previous Page IconTo Previous Page
Loading...
A070554 V1 EN
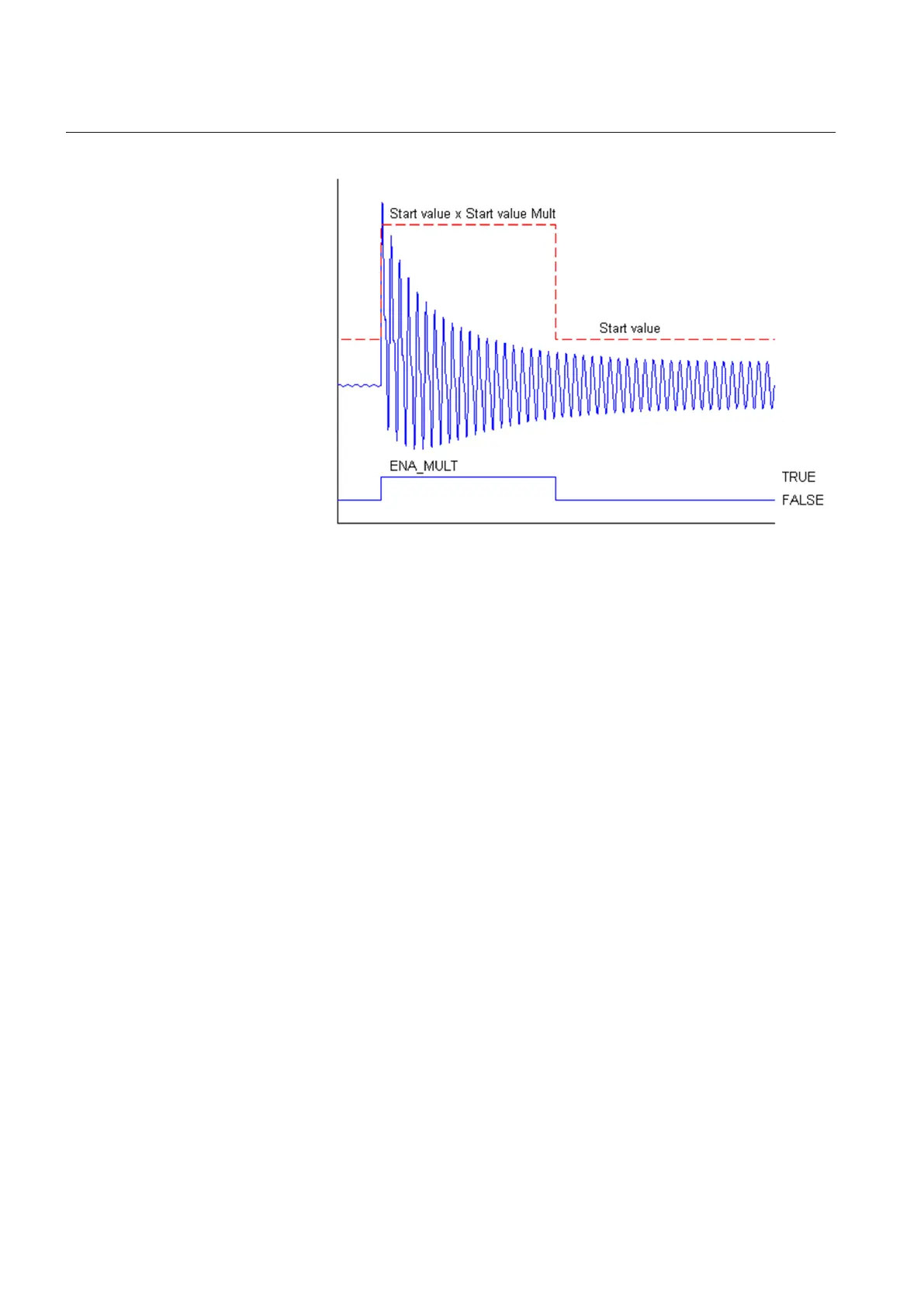
Figure 78: Start value behavior with the
ENA_MULT
input activated
Phase selection logic
The phase selection logic detects the faulty phase or phases and controls the timers
according to the set value of the Num of start phases setting.
Section 4 1YHT530004D05 D
Protection functions
160 615 series
Technical Manual

Table of Contents

Related product manuals