EasyManua.ls Logo

AEG COMPETENCE 770 E-mp - Flat Grilling

AEG COMPETENCE 770 E-mp
50 pages
Print Icon
To Next Page IconTo Next Page
To Next Page IconTo Next Page
To Previous Page IconTo Previous Page
To Previous Page IconTo Previous Page
Loading...
=~
Cooking
functions
70
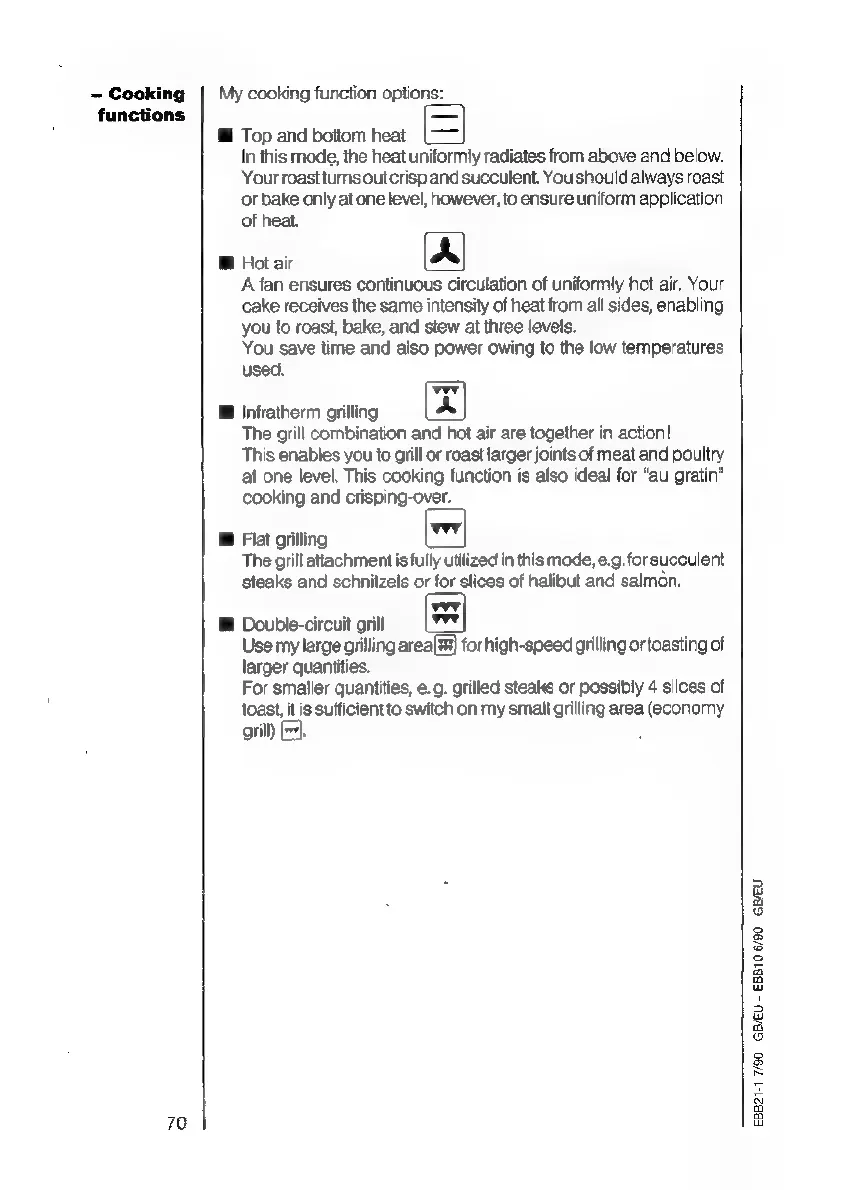
My
cooking
function
options:
@
Top
and
bottom
heat
[=
In
this
mode,
the
heat
uniformly
radiates
from
above
and
below.
Your
roastturns
out
crisp
and
succulent.
You
should
always
roast
or
bake
only
atone
level,
however,
to
ensure
uniform
application
of
heat.
>|
@
Hot
air
(o>
}
A
fan
ensures
continuous
circulation
of
uniformly
hot
air.
Your
cake
receives
the
same
intensity
of
heat
from
all
sides,
enabling
you
to
roast,
bake,
and
stew
at
three
levels.
You
save
time
and
also
power
owing
to
the
low
temperatures
used,
oad
@
Infratherm
grilling
LA
|
The
grill
combination
and
hot
air
are
together
in
action!
This
enables
you
to
grill
or
roast
larger
joints
of
meat
and
poultry
at
one
level.
This
cooking
function
is
also
ideal
for
“au
gratin”
cooking
and
crisping-over._
wy
@
Flat
grilling
The
grilf
attachments
fully
utilized
in
this
mode,
e.g.
for
succulent
steaks
and
schnitzels
or
for
slices
of
halibut
and
salmon.
wy
@
Double-circuit
grill
hood
Use
my
large
grilling
areal)
for
high-speed
grilling
or
toasting
of
larger
quantities.
For
smaller
quantities,
e.
g.
grilled
steaks
or
possibly
4
slices
of
ee
sufficient
to
switch
on
my
smali
grilling
area
(economy
rill)
[rrr].
EBE21-1
7/00
GBVEU-
€BB106/90
GEVEU

Related product manuals