EasyManua.ls Logo

ARCCAPTAIN CUT50 - System Characteristics

ARCCAPTAIN CUT50
20 pages
Print Icon
To Next Page IconTo Next Page
To Next Page IconTo Next Page
To Previous Page IconTo Previous Page
To Previous Page IconTo Previous Page
Loading...
7
Generally speaking, for a cutting machine with analogue circuit control or with analogue
circuit & digital circuit control, the performance characteristics are decided by the
parameters of various components. Cutting performance of the machines differ as a result
of the inconsistent parameters of the components, so even for the cutting machines of the
same brand, their parameters often differ from each other. In addition, cutting
performance of the machine may change on some extent, since parameters of the
components may vary according to the environment such as temperature and humidity,
etc.
One of the characteristics of digital control is that it is not sensitive to the change of
parameters; the performance of cutting machine will not be affected by the change of the
parameters of certain parts. Therefore, the consistency and stability of digital control
cutter is better than that of traditional cutter.
Powerful cutting performance
This machine is economic and practical since it can cut metals by adopting compressed
air as the plasma gas source. The cutting speed has increased by 1.8 times when
compared with oxyacetylene cutting. It can cut thick steel plates such as stainless steel,
copper, cast iron and aluminum conveniently and quickly. It is easy to ignite arc by
adopting HF arc ignition mode, and post-flow function is available. With simple operation
and high cutting speed, smooth cutting surface can be obtained, and polishing is
unnecessary.
2.5 System characteristics
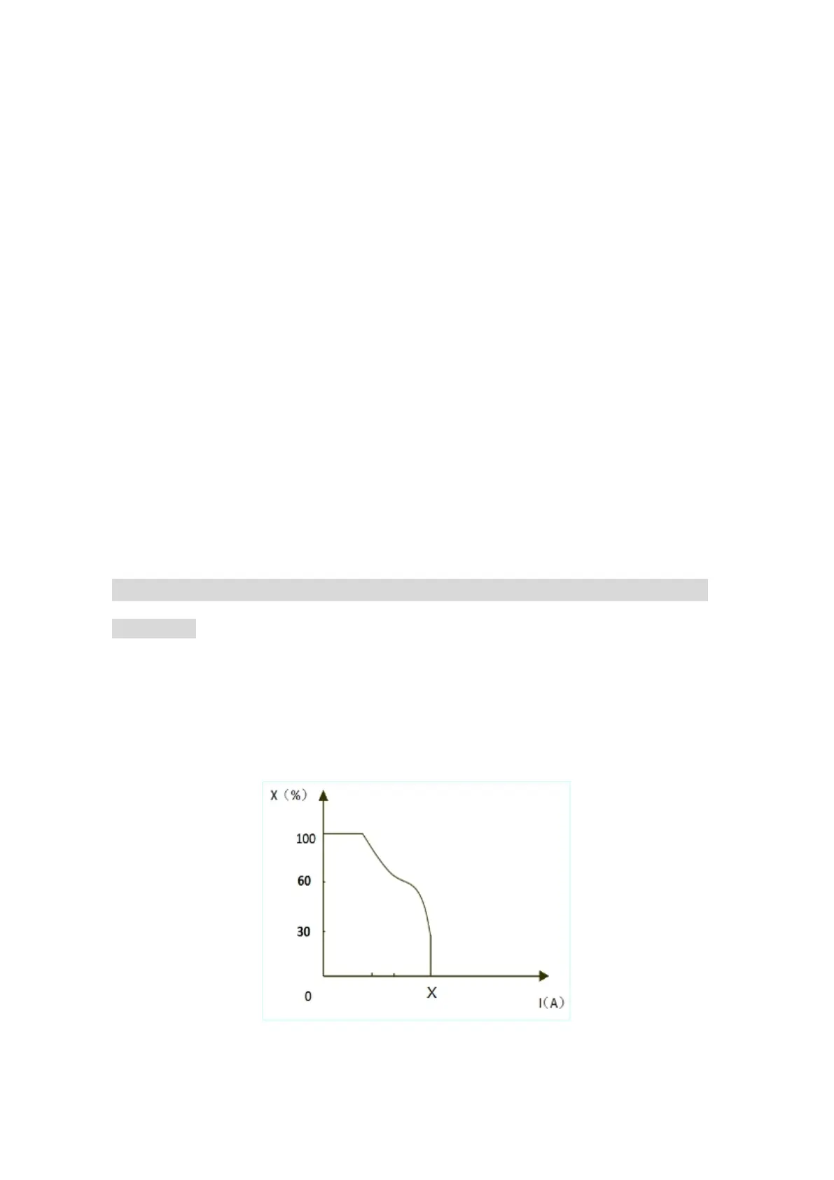
Duty cycle
Rated duty cycle refers to the percentage of the normal work time of the machine under
rated maximum current holding in the period when taking 10 minutes as a period. The rated
duty cycle of this machine is 60%. Using the cutting machine continuously overrunning the
rated load may lead to overheating of the machine, and frequently using the machine
overrunning the rated load may accelerate the aging of the machine or even burn the
machine.
Pic 3 Duty cycle
Digital Welder Expert, Know You More
https://www.arccaptain.com

Related product manuals