EasyManua.ls Logo

BFGoodrich PS-823 - Page 101

Default Icon
344 pages
Print Icon
To Next Page IconTo Next Page
To Next Page IconTo Next Page
To Previous Page IconTo Previous Page
To Previous Page IconTo Previous Page
Loading...
BFGoodrich
Avionics Systems,
Inc.
CornponentNianitenancebdanual
Pn4501-1075-()
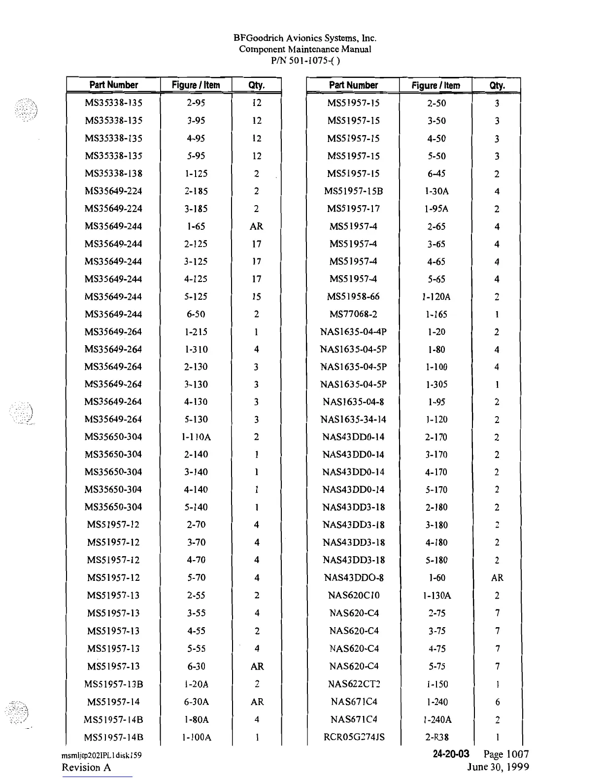
Part
Number
Figure
/ Item
Oty. Part
Number
Figure/ Item
Oty.
A4S35338-135 2-95
12
A4S51957-lS
2-50
3
A4S35338-135
3-95
12
A4S51957-15 3-50
3
54835338-135
4-95
12
A4S51957-15
4-50
3
A4S35338-135
5-95
12
A4SS1957-15
5-50
3
A4S35338-138
l-125
2
A4SSl957-15
6-45
2
AIS35649-224 2-185
2
A4S5l957-15B
1-30A
4
54535649-224
3-185
2
NISSl957-17 1-95A
2
AIS35649-244
1-65
AJR
h4S51957-4 2-65
4
A4S35649-244
2-125
17
N4S51957-4 3-65
4
AIS35649-244
3-125
17
A4S51957-4 4-65
4
AIS35649-244
4-125
17
A4S51957-4 5-65
4
NIS35649-244
5-125
15
A4S51958-66
1-120A
2
hãS35649-244
6-50
2
A4S77068-2
1-165
1
NIS35649-264
l-215
1
NLASl635-04-4P 1-20
2
NIS35649-264
1-310
4
FLASl635-04-5P 1-80
4
N4S35649-264
2-130
3
NA.Sl635-04-5P
1-100
4
N4S35649-264 3-130
3
FLASl635-04-5P 1-305
1
N4S35649-264
4-130
3
NLASl635-04-8 1-95
2
NIS35649-264
5-130
3
FLASl635-34-14
1-120
2
A4S35650-304 1-110A
2
FLAS43DDO-14 2-170
2
A4S35650-304
2-140
1
FLAS43ENDO-14 3-170
2
MS35650-304
3-140
1
NAS43DDO-14 4-170
2
A4S35650-304
4-140
1
FLAS43ENDO-14 5-170
2
NIS35650-304
5-140
1
NLAS43I3133-18
2-180
2
MS51957-12
2-70
4
NAS43DD3-18
3-180
2
h4S5I957-12
3-70
4
FLAS43DD3-l8 4-180
2
A4S51957-12
4-70
4
FLAS43DD3-18
5-180
2
A4S51957-12
5-70
4
FLAS43DDCI-8
1-60
AR
híS51957-13
2-55
2
bbkS620Cl0
I-I30A
2
híS51957-13
3-55
4
bbtS620-C4
2-75
7
A4S51957-13 4-55
2
NAS620-C4
3-75
7
híS51957-13
5-55
4
bbtS620-C4
4-75
7
NIS51957-13 6-30
AJI
NLAS620-C4
5-75
7
MS51957-13B
1-20A
2
NAS622CT2
1-150
1
MS51957-I4
6-30A
AR
NAS67lC4
1-240
6
NIS51957-l4B I-80A
4
NLAS67lC4
l-240A
2
90S51957-14B l-100A
1
RCROSG274JS
2-R38
i
n
smljtp2021PLldiskl59
24-20-03
Page
1007
F.evision
As
June30,
1999

Table of Contents