EasyManua.ls Logo

BFGoodrich PS-823 - Page 96

Default Icon
344 pages
Print Icon
To Next Page IconTo Next Page
To Next Page IconTo Next Page
To Previous Page IconTo Previous Page
To Previous Page IconTo Previous Page
Loading...
BFGoodrich
Avionics Systems, Inc.
CornponentAtaintenance Adanual
Pß¾501-1075-()
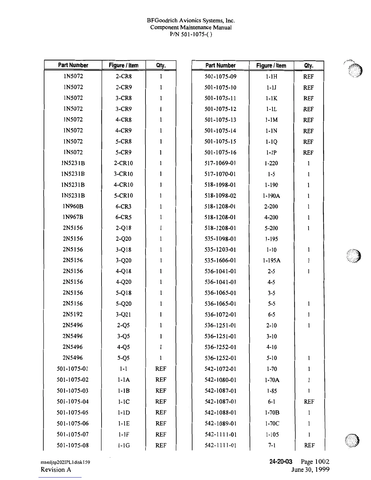
Part
Number Figure
/
Item Oty.
Part
Number Figure/ Item Oty.
lN5072
2-CFUs
1
501-1075-09 1-1H
FUEF
1145072
2-C319
1
501-1075-10 1-lJ
FUEF
lN5072
3-CR8
1
501-1075-11 1-lK
FUEF
1145072
3-CDI9
1
501-1075-12 l-lL
FUEF
IN5072
4-C318
l
501-1075-13 1-11M
IDEF
IN5072
4-CR9
1
501-1075-14
1-1N
FliF
IN5072
5-CR8
I
501-1075-15
l-IQ
REF
1145072
5-CDI9
l
501-1075-16
1-lP
IDEF
ll4523lB
2-C3110
1
517-1069-01
l-220
I
1N523lB
3-C3110
l
517-1070-01 l-5
1
11452318
4-CRl0
l
518-1098-01 1-190
1
1145231B
5-C3110
1
518-1098-02 1-190At
1
lN960B
6-CFU;
1
518-1208-01
2-200
1
lN967B
6-CFui
1
518-1208-01
4-200
1
2195156
2-Ql8 1
518-1208-01 5-200
1
2N5l56
2-Q20 1
535-1098-01
1-195
2N5l56 3dQl8 1
535-1203-01 1-10
1
095156
34Q20 1
535-1606-01
1-195A
1
2N5156 4-Ql8 1
536-1041-01
2-5
1
2N5156 44Q20 1
536-1041-01 4-5
2N5156 54218 1
536-1065-01
3-5
2N5156 54Q20 1
536-1065-01
5-5
1
095192 3-Q21
I
536-1072-01 6-5
1
2145496 2-(15 1
536-1251-01 2-10
1
2145496
3-(85
l
536-1251-01 3-10
2145496
4-(85 1
536-1252-01 4-10
2N5496 5-(85 1
536-1252-01 5-10
1
501-1075-01
l-1
FSOF
542-1072-01
1-70
1
501-1075-02 1-lAs
FSOF
542-1080-01 1-70/t
1
501-1075-03 I-IB
FUEF
542-1087-01
1-85
1
501-1075-04 l-lC
FUEF
542-1087-01
6-1
FliF
501-1075-05 1-lD
FUEF
542-1088-01
l-70B
l
501-1075-06 1-1E
FUEF
542-1089-01 l-70C
l
501-1075-07
l-lF
FUEF
542-1111-01
1-105
l
501-1075-08
1-lG
FUEF
542-1111-01 7-1
FliF
msmljtp202IPLldiskl59
24-20-03
Page
1002
Revision As
June30,
1999

Table of Contents