EasyManua.ls Logo

BFGoodrich PS-823 - Page 98

Default Icon
344 pages
Print Icon
To Next Page IconTo Next Page
To Next Page IconTo Next Page
To Previous Page IconTo Previous Page
To Previous Page IconTo Previous Page
Loading...
BFGoodrich Avionics Systems,
Inc.
Component
Maintenance Manual
Pnü501-1075-()
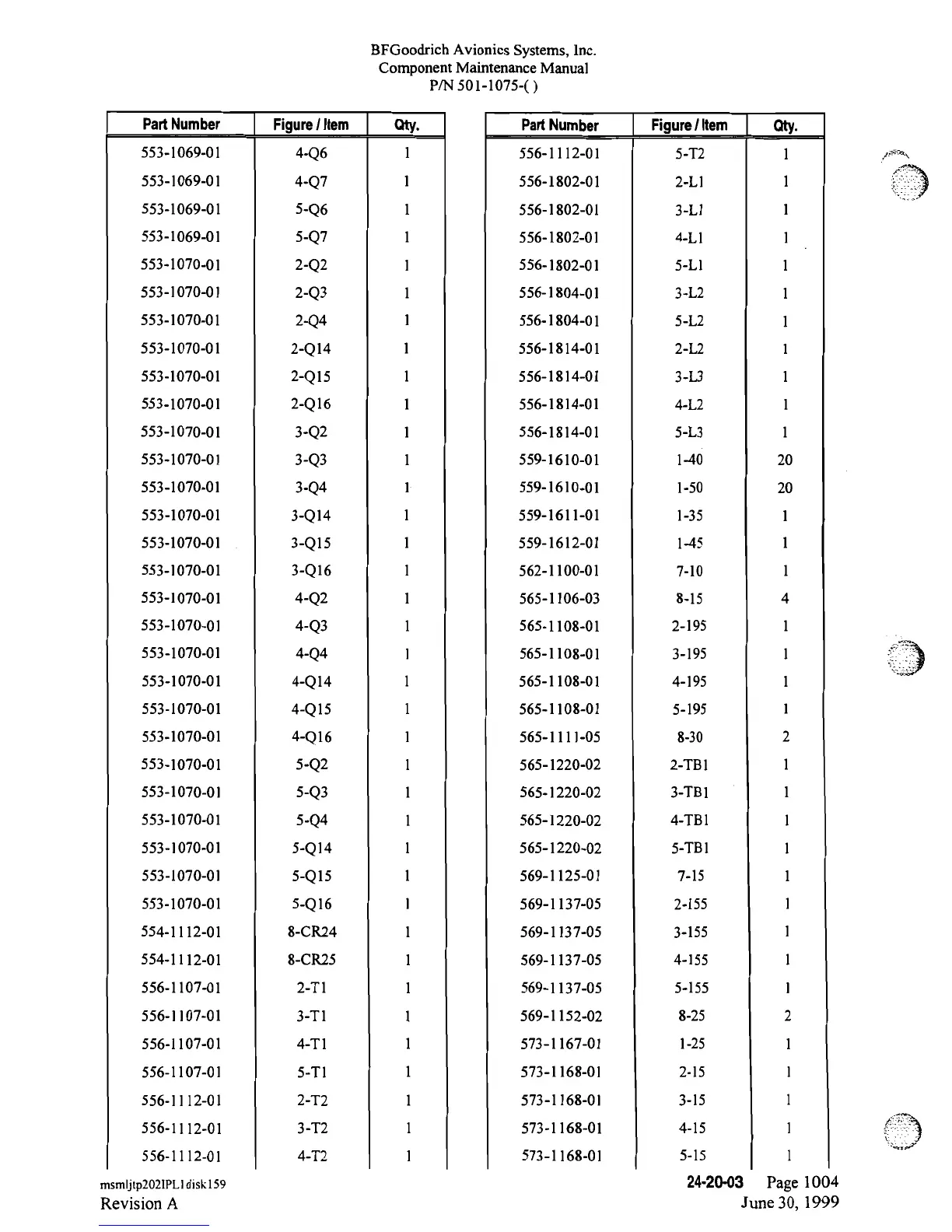
Part
Number
Figure
/
Item
Oty. Part Number
Figure
/
Item
Oty.
553-1069-01
44Q6
1
556-1112-01 5-T2
1
553-1069-01
4-()7 l
556-1802-01
2-L1
1
553-1069-01
5-Q6
1
556-1802-01 3-Ll
l
553-1069-01
5-(27
1
556-1802-01
4-L1
1
553-1070-01
2-Q2
l
556-1802-01
5-LI
l
553-1070-01
2-(gl
1
556-1804-01 3-L2
1
553-1070-01
2-Q4 l
556-1804-01 5-L2
1
553-1070-01
2-Ql4 l
556-1814-01
2-L1
1
553-1070-01
2dQl5 1
556-1814-01
3-L3
1
553-1070-01
2-Ql6
1
556-1814-01 4-L2
1
553-1070-01
3-(gl
l
556-1814-01 5-L3
1
553-1070-01
3-(NI
l
559-1610-01
1-40
20
553-1070-01
3-Çy‡
l
559-1610-01 1-50
20
553-1070-01
3dQl4 1
559-1611-01
l-35
l
553-1070-01
3-Ql5
1
559-1612-01 1-45
1
553-1070-01
3dpl6 1
562-1100-01 7-10
1
553-1070-01
4-($1 1
565-1106-03
8-15
4
553-1070-01
4-(gl
l
565-1108-01 2-195
1
553-1070-01
4-Çy‡
l
565-1108-01 3-195
1
553-1070-01
4-Ql4
1
565-1108-01 4-195
1
553-1070-01
4-Ql5
1
565-1108-01
5-195
l
553-1070-01
4-Ql6
l
565-1111-05
8-30
2
553-1070-01
5-(61
1
565-1220-02 2-TB1
1
553-1070-01
54Q3 1
565-1220-02
3-TBl
1
553-1070-01
5-(24
l
565-1220-02
4-TBl
1
553-1070-01 5-Qil4
1
565-1220-02
5-TBl
1
553-1070-01
54Q15 1
569-1125-01 7-15
1
553-1070-01
5-(ll6
i
569-1137-05 2-155
l
554-1112-01
8-CIt24
1
569-1137-05 3-155
l
554-1112-01 8-CIL25
1
569-1137-05 4-155
1
556-1107-01
2-TI
l
569-1137-05 5-155
1
556-1107-01
3-Tl
1
569-1152-02
8-25
2
556-1107-01
4-Tl
1
573-1167-01
l-25
1
556-1107-01
5-TI
l
573-1168-0]
2-15
1
556-1112-01
2-T2
1
573-1168-01
3-15
1
556-1112-01
3-T2
1
573-1168-01
4-15
l
556-1112-01
4-T2
l
573-1168-01 5-15
1
I I
asmljtp2021PLIdiskl59
24-2(F03
Page
1004
Fevision
A
June30,1999

Table of Contents