EasyManua.ls Logo

BodyCAP e-Celsius Performance - Page 22

BodyCAP e-Celsius Performance
38 pages
Print Icon
To Next Page IconTo Next Page
To Next Page IconTo Next Page
To Previous Page IconTo Previous Page
To Previous Page IconTo Previous Page
Loading...
User Guide e-CELSIUS Performance.2
EN
22
number of data to synchronize can’t exceed 2000 since the memory of the capsule is
limited to 2000 data.
In the case the pill emits the data every 30s, the communication between the capsule and the
associated monitor has to be restored within a maximum period of 15 hours. If not, you might
permanently loose some of the collected data (automatic synchronization capsule / monitor
can take time, from several minutes to several hours depending on the number of data to
recover).
The first data which will be synchronized will always be the earliest data available in the
pill memory in the limit of the synchronisation number set on the monitor. The most
recent data are always the latest synchronised data.
To synchronise data from pill, the monitor has to be in real time communication with
the pill during several minutes. As soon as the RF link is broken, the monitor has to wait
for the next pill communication to continue the synchronisation process.
Synchronisation indicators C1, C2 and C3 gives the amount of data missing in the monitor to
complete the memory in the range of the sync number set in the monitor.
Remark: the monitor always optimizes the synchronisation process. It waits to have enough
consecutive data (around 9 data) before ordering the pill to synchronize.
If data are synchronized without initial data (which is the case in Backup mode), the time and
date associated to the data will be estimated. It is possible that of an inaccuracy of a few
minutes occurs for the estimated time.
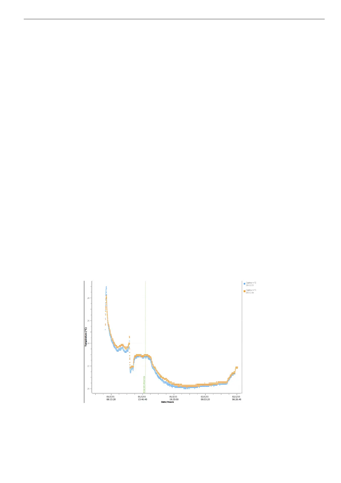
A marker "Backup mode" green on the chart of the e-Performance Manager software indicates
the beginning of the Backup mode. All the data before this marker are synchronized data.
Picture 21: "Back up mode" marker

Table of Contents