EasyManua.ls Logo

Canon iP4300 - Page 20

Canon iP4300
61 pages
Print Icon
To Next Page IconTo Next Page
To Next Page IconTo Next Page
To Previous Page IconTo Previous Page
To Previous Page IconTo Previous Page
Loading...
20
No (N >= 7)
L = 0
Left margin correction
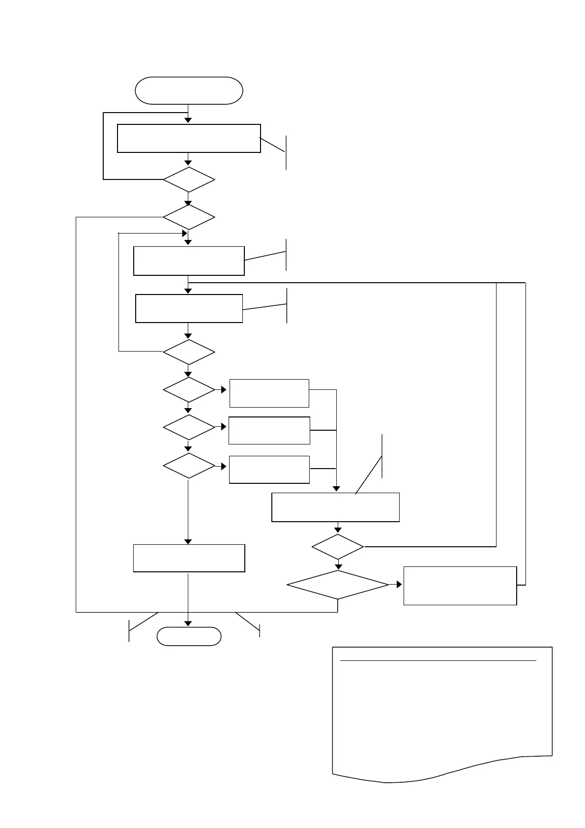
START
Start of duplex printing from the
A
SF and cassette
(
ke
y
entr
y)
Duplex printing from the
A
SF and cassette
Parameter mode
selection
(
ke
y
entr
y)
L = 1
M = 0
M = 1
A
SF, back side
of pape
r
M = 2
Cassette, front
side of
p
a
p
e
r
M = 3
Cassette, back
side of
p
a
p
e
r
Selection of the left margin
correction value (key entry)
N = 0
1 <= N <= 6
Writing of the correction
value to the EEPROM
END
Key entry (number of times the button is pressed):
0 times:
The previous entry was wrong. Return to the
previous step.
Specified number:
Set the specified value.
Over the specified number:
Exit the left margin correction mode.
Before writing to the EEPROM, values in the RAM
area can be overwritten by using key entry.
Press the Resume/Cancel button
"L" times, then press the Power
button to fix the selection.
Printing is performed according to
the current correction values in the
EEPROM.
Press the Resume/Cancel button
"M" times, then press the Power
button to fix the selection.
Press the Resume/Cancel
button "N" times, then press
the Power button to fix the
selection.
No writing to the EEPROM.
No writing to
the EEPROM.
Yes
Setting of the selected
left margin correction
value
No (N >= 2)
No
Yes
Yes
No
No
No
No (N >= 4)
Yes
Yes
Yes
Yes
Yes
No

Related product manuals