EasyManua.ls Logo

Canon LBP-10 - Page 6

Canon LBP-10
26 pages
Print Icon
To Next Page IconTo Next Page
To Next Page IconTo Next Page
To Previous Page IconTo Previous Page
To Previous Page IconTo Previous Page
Loading...
LASER
RADIATION
SAFETY
INFORMATION
1.
LASER
SAFETY
The
LBP-10
is
certified to
comply
with
DREW
Radiation
Performance
Standard
under the
Radiation
Control
for
Health
and Safety
Act
of 1968
as
a
Class
1
Laser
Product.
This
means
that
the
LBP-10
belongs to
a
class
of laser
products
that
does
not
produce
hazardous
laser
radiation.
Since
the
radiation
emitted
inside
the
LBP-10
is
completely
confined
within
protective
housings
and ex-
ternal
covers,
the
laser
beam
can
not
escape
from
the
machine
during
any
phase of
user
operation.
2.
BRH
REGULATIONS
Effective
August
2,
1976,
the
Bureau
of
Radiological
Health
(BRH)
of the
Food
and Drug
Administration
has
established
regulations
for
laser products.
The
regulations
apply to
laser
products
manufactured
after
August
1,
1976.
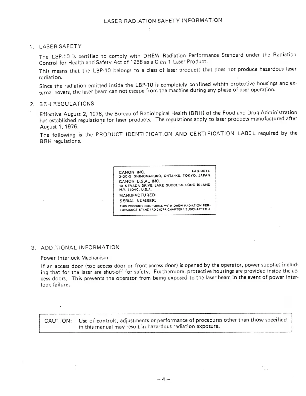
The
following
is
the PRODUCT
IDENTIFICATION
AND
CERTIFICATION
LABEL
required
by
the
BRH
regulations.
CANON
INC.
AA3-O014
3-30-2 SHiMOMARUKO,
OHTA-KU.
TOKYO.
JAPAN
CANON
U.S.A.,
INC.
10
NEVADA
DRIVE. LAKE
SUCCESS,
LONG
ISLAND
N.Y.
11040, U.S.A.
MANUFACTURED:
SERIAL
NUMBER:
THIS
PRODUCT
CONFORMS
WITH
DMEW
RADIATION
PER-
FORMANCE
STtNDARD.21CFR
CHAPTER 1
SUBCHAPTER J
ADDITIONAL
INFORMATION
Power
Interlock
Mechanism
If an access
door (top
access
door or
front access
door) is
opened by
the
operator, power
supplies
includ-
ing that
for the
laser
are
shut-off for
safety.
Furthermore,
protective
housings
are provided inside
the ac-
cess
doors. This
prevents
the
operator
from
being
exposed to
the
laser beam
in the event
of power
inter-
lock
failure.
CAUTION:
Use
of
controls,
adjustments
or
performance
of
procedures
other
than those specified
in this
manual
may
result in
hazardous
radiation
exposure.
_4-

Related product manuals