EasyManua.ls Logo

CIAT AQUALIS 2 35 - Available Pressure Curves (Pure Water); Test Mode

CIAT AQUALIS 2 35
30 pages
Print Icon
To Next Page IconTo Next Page
To Next Page IconTo Next Page
To Previous Page IconTo Previous Page
To Previous Page IconTo Previous Page
Loading...
58
Français
English
DeutschItaliano
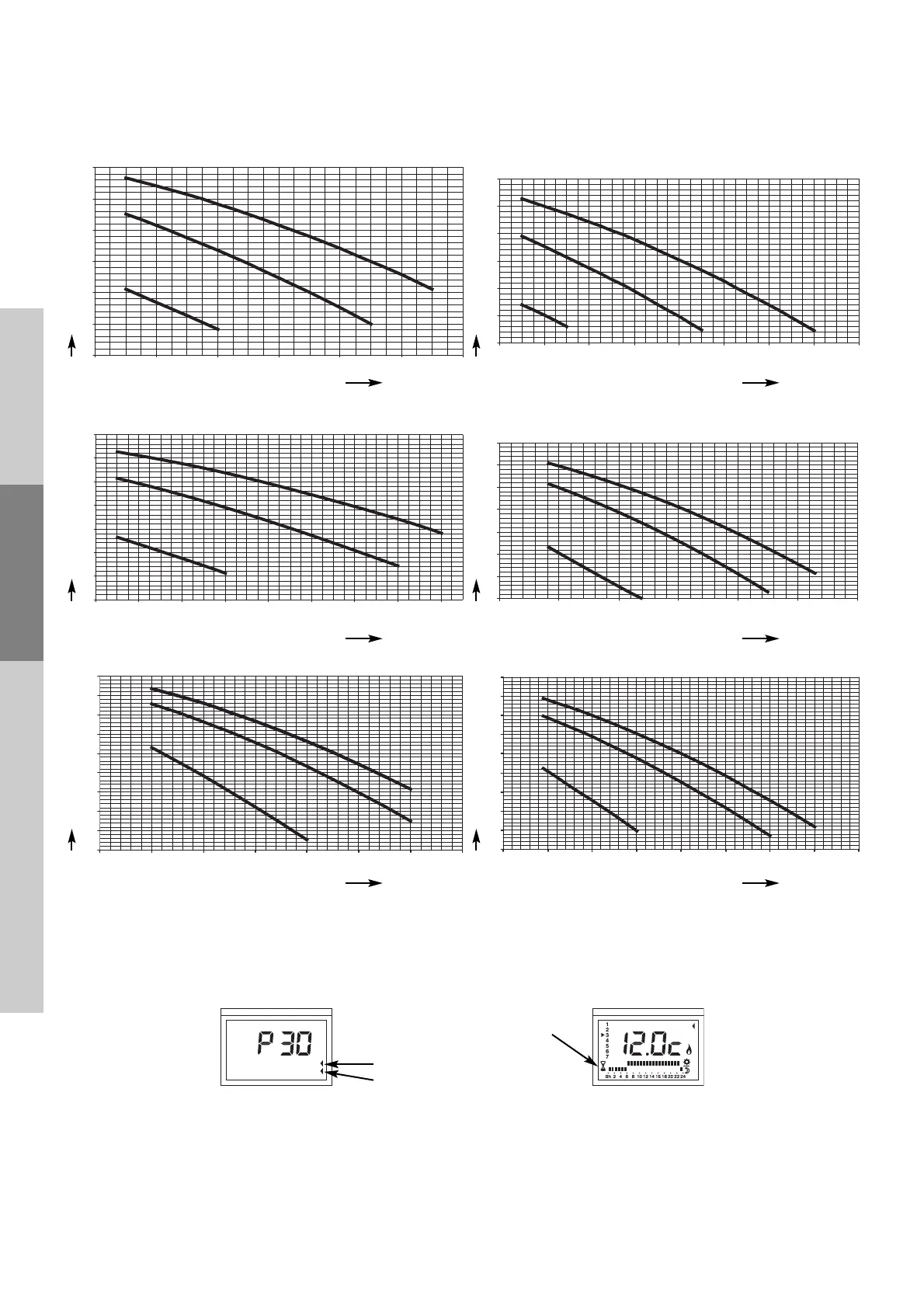
7.3 Available pressure curves
(pure water)
The available pressure curves are given for pure water.
Subtract 5 kPa from the available pressures in the case of systems using 40% monopropylene glycol (heating mode).
0
10
20
30
40
50
60
0.6 0.8 1 1.2 1.4 1.6 1.
8
0
10
20
30
40
50
60
0.8 1 1.2 1.4 1.6 1.8 2 2.2 2.
4
0
10
20
30
40
50
60
70
1 1.2 1.4 1.6 1.8 2 2.2 2.4 2.6
10
20
30
40
50
60
70
80
1 1,5 2 2,5 3 3,5 4
AQUALIS 2
35 - 35 H / 35T - 35 HT
AQUALIS 2
50 H / 50T - 50 HT
10
20
30
40
50
60
70
80
90
100
1.5 2 2.5 3 3.5 4 4.5 5
10
20
30
40
50
60
70
80
90
100
2 2.5 3 3 .5 4 4.5 5 5.5 6
AQUALIS 2
65T - 65HT
AQUALIS 2
75T - 75HT
Available static pressure (kPa)
Available static pressure (kPa)
Available static pressure (kPa)
Available static pressure (kPa)
Available static pressure (kPa)
Available static pressure (kPa)
Water flow (m
3
/h) Water flow (m
3
/h)
Water flow (m
3
/h) Water flow (m
3
/h)
Water flow (m
3
/h) Water flow (m
3
/h)
AQUALIS 2
20 - 20H
AQUALIS 2
28 - 28H
8.
TEST MODE
This mode allows you to test the system by reducing the time the safety devices are activated.
Display setting P30 (see the “Accessing the settings” section)
Mode activated when P30 = 1 (cancels after one hour - P30 reverts to 0).
In this case:
- P7 and P9 are cancelled.
- The compressor short-cycle protection is lowered to 30 seconds.
- The 30-minute waiting time followng an HP fault (or coil freon sensor fault) is reduced to 30 seconds.
- The auxiliary trigger time delay is reduced from 80 seconds to 5 seconds.
- The frosting time delay is in seconds.
- The time delay for restarting the compressor after a d1.1 fault is reduced from 2 minutes to 30 seconds.
Hourglass symbol appears
INDICATOR 1 (customer level)
INDEX 0 (installer level)

Table of Contents

Related product manuals