EasyManua.ls Logo

Clear-Com SB-704 - Fail-Safe Power System

Clear-Com SB-704
42 pages
Print Icon
To Next Page IconTo Next Page
To Next Page IconTo Next Page
To Previous Page IconTo Previous Page
To Previous Page IconTo Previous Page
Loading...
SB-704 MAIN STATION
2-2
link is activated. If there is more than one SB-704 or MS-704 in a system, the
link function can only be used at the station where the terminations are set on.
FAIL-SAFE POWER
An intercom power supply has special needs that are not met by traditionally
designed power supplies. An intercom power supply must work in adverse
conditions such as low AC line voltage, momentary shorts on the DC power
lines to the stations, and excessive peak loads during “power-on”conditions.
The following features are incorporated into the SB-704s power supply:
AUTOMATIC SHORT CIRCUIT PROTECTION: The SB-704’s
internal power supply checks each channel for a short or current overload.
If it detects a short the power supply will shut down that channel. A short
duration short circuit will not cause the power supply to interrupt power.
AUTOMATIC OVERLOAD PROTECTION: The SB-704’s internal
power supply senses the difference between shorts and overloads. If an
overload is detected the power supply will shut down that channel. An
overload lasting a short period will not cause the power supply to
interrupt power.
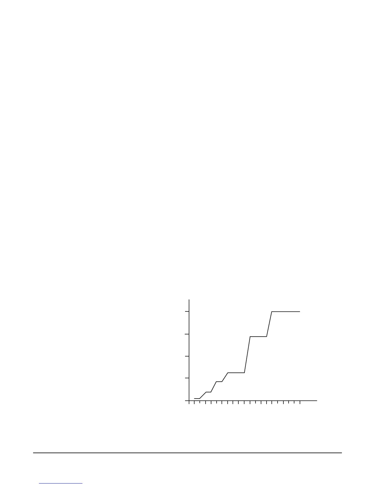
AUTOMATIC POWER RESTORE: The SB-704’s internal power
supply senses the difference between short-term and long-term shorts and
overload conditions. After the first few times a short or overload occurs,
the power supply will try to restore power after only 0.5 seconds. If the
short or overload persists or occurs repeatedly, the power supply will take
progressively longer (to a maximum of 20 seconds) to try to restore
power. This protects the power supply from damage due to overheating.
Once the short is removed, the channel will recover, even under a full load
condition. The automatic power restore times are shown in the following
chart:
Figure 2-2: Automatic Power Restore Times
1
2
3
4
5
67
8
9
10
11
12
13
14 15
16
17
18
19
20
5
10
15
20
0
0
0.5
2
4
7
14
20
Number of
seconds to
restore
Number of recent shorts or overloads

Table of Contents

Related product manuals