EasyManua.ls Logo

Crestron HDI-XSPA - Fuse Replacement

Crestron HDI-XSPA
28 pages
Print Icon
To Next Page IconTo Next Page
To Next Page IconTo Next Page
To Previous Page IconTo Previous Page
To Previous Page IconTo Previous Page
Loading...
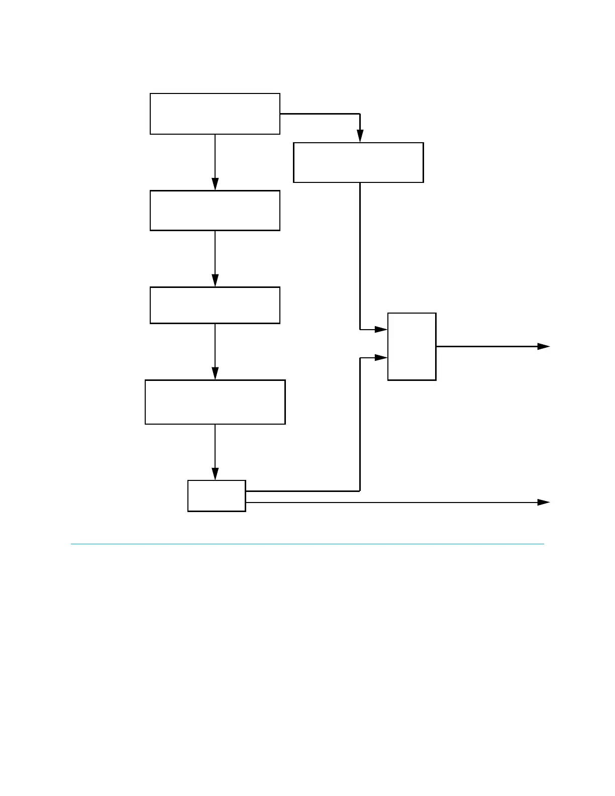
HD-XSPA DSP Detail
Fuse Replacement
If the HD-XSPA does not power up when it is plugged into an ac outlet, the fuse may need
to be replaced. The fuse holder is located on the rear panel, next to the IEC socket
assembly. To replace the fuse, perform the following procedure:
1. Unplug the HD-XSPA.
2. Using a flat-head screwdriver, push in the fuse holder while turning the screwdriver
counterclockwise until the fuse holder pops out.
4 x 2
Switch
Decoding
(7.1 and Downmix)
Bass
Management
Volume/Tone/
Loudness
2-Channel
Downmix
2-Channel
Downmix
Back/Downmix L/R
Front L/R, Center, Surround L/R
Back L/R
Volume
Trim
Delay
(Up To 100 ms Per Channel)
EQ
Supplemental Guide DOC. 7448E HD(I)-XSPA: 4K UHD Surround Sound AV Receiver 3