EasyManua.ls Logo

D-Link DFL-260E - Packet Flow Schematic Part III

D-Link DFL-260E
589 pages
Print Icon
To Next Page IconTo Next Page
To Next Page IconTo Next Page
To Previous Page IconTo Previous Page
To Previous Page IconTo Previous Page
Loading...
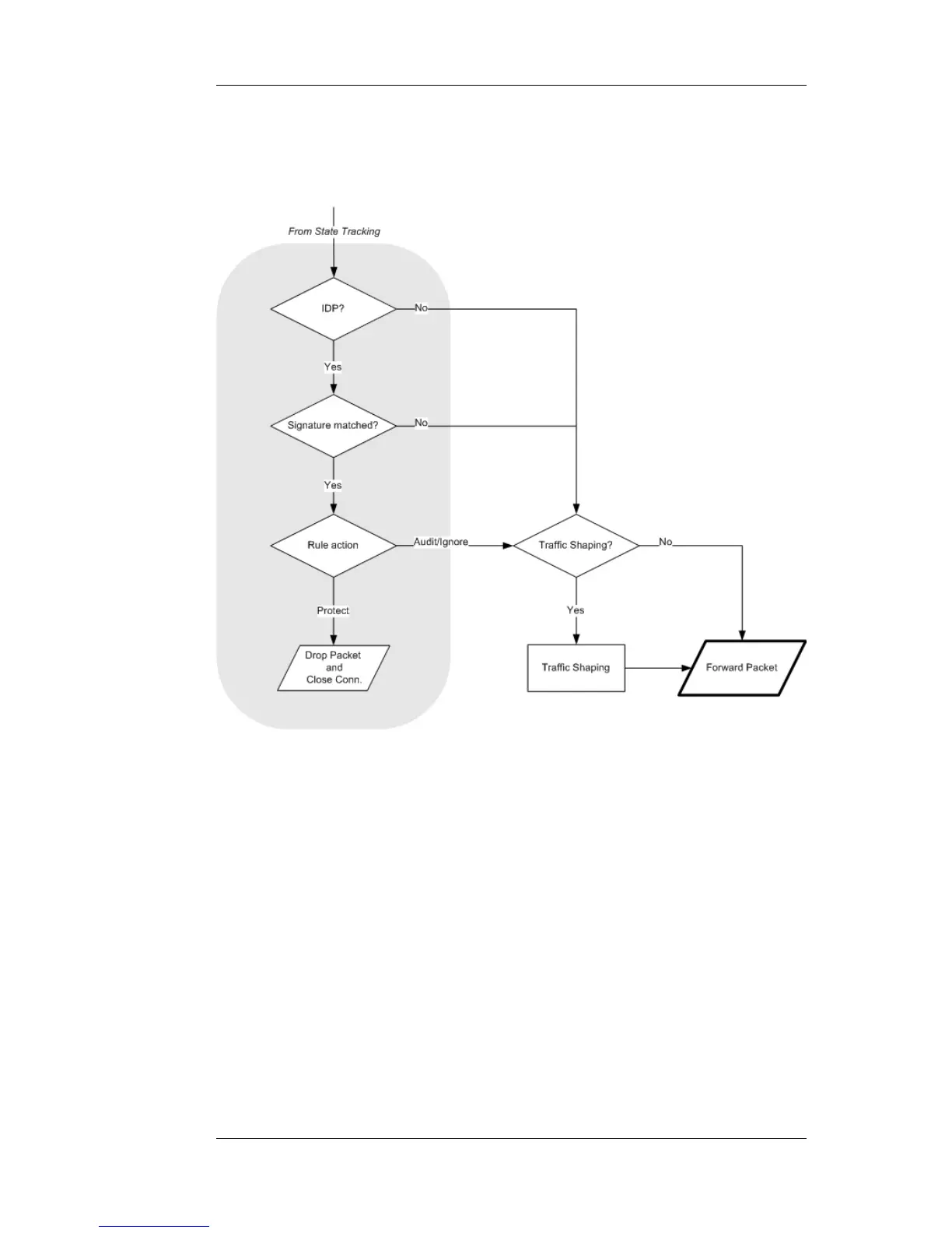
Figure 1.3. Packet Flow Schematic Part III
1.3. NetDefendOS State Engine Packet
Flow
Chapter 1. NetDefendOS Overview
26

Table of Contents

Other manuals for D-Link DFL-260E

Related product manuals