EasyManua.ls Logo

DAB E.SWIM - Command Modes

DAB E.SWIM
33 pages
Print Icon
To Next Page IconTo Next Page
To Next Page IconTo Next Page
To Previous Page IconTo Previous Page
To Previous Page IconTo Previous Page
Loading...
ENGLISH
44
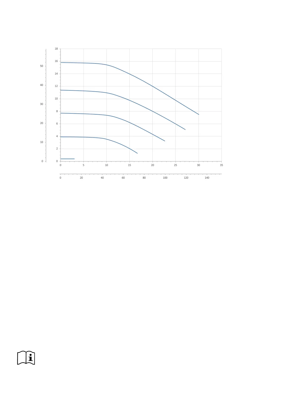
Head H
ft m
100%
70%
20%
m
3
/h
US GPM
Flow Q
Figure 11
The inverter automatically regulates the rotation speed of the pump, shifting the work point, as necessary, to any part
of the area subtended by the maximum curve (100%).
Regulation during pumping can takes place in flow control mode or in fixed curve mode.
In “flow control” (“Flow”) the system assesses the instantaneous flow of water and varies the pump speed so that
the flow corresponds to the setpoint, expressed in this case in “m
3
/h” (cubic metres per hour) or “GPM” (US
gallons per minute). In this mode, the work point moves (ideally) on a vertical line, corresponding to the flow value
chosen.
Infixedcurve”mode
(“Speed %”), thesetpoint(expressedasapercentage%”) indicatestheoperatingcurve
onwhichyouwanttobepositioned.
As can be seen in the figure, the operating point then moves following the
trend of the curve chosen, which is similar to the trend of fixed speed curves in traditional pumps.
Generally, when the work point falls below the maximum curve, the system reduces the absorbed power and thus
decreases the energy consumption.
5.1.2 Command modesThe system can operate in two control modes: “Manual” mode and “Auto” mode.
In “Manual” mode:
the operator manually commands the switching on of the pup by pressing the keys from “SET1” to “SET4” or
QuickClean”;
the LED next to the key that has been pressed lights up (for example, if “SET1” is pressed the LED above this
key is lit).
In “Auto” mode:
switching on and off are automatically commanded by Timers, which can be programmed as desired on a
weekly basis, or by signals arriving from an external control unit (“EXT”).
This mode is disabled when the system leaves the factory.
To activate it, you must first of all configure the necessary parameters (see 6.2.5 and 6.2.6), and then press the “Auto”
key (the respective LED lights up).
“Manual” mode and “Auto" mode can also be used simultaneously; in this case, as will be described
better below, the automatism ("Auto") remains active in the background but, if necessary, it can be
temporarily overridden by a manual command, which has precedence.

Related product manuals