EasyManua.ls Logo

Danfoss VLT 5072 - Brief Product Description; Function and System Description

Danfoss VLT 5072
123 pages
Print Icon
To Next Page IconTo Next Page
To Next Page IconTo Next Page
To Previous Page IconTo Previous Page
To Previous Page IconTo Previous Page
Loading...
VL 5000 Crane
Introduction
Brief Product Description
The VLT 5000 Crane frequency converter supplies
a motor with variable voltage and frequency and
thereby enables infinitely variable speed control of
three-phased standard AC-motors.
The VLT 5000 Crane features the Flux Vector
control system.
The VLT 5000 Crane uses a digital technique
making it possible to program the different control
inputs and signal outputs.
The user can easily program the desired functions
by means of the VLT 5000 Crane control panel or
the user interfaces RS485 and RS232.
The VLT 5000 Crane is protected against the transients
occurring in the mains supply. Furthermore, a
good power factor and low peak current, reducing
the load on the mains installation, are ensured
through intermediate circuit coils.
Current measurement on all three motor phases
perfectly protects VLT 5000 Crane against earthing and
short-circuiting faults on the motor connenction.
Efficient monitoring of the mains supply phases
ensures that the unit stops in case of phase failure.
This eliminates the risk of overloading the inverter an
d
the capacitors in the intermediate circuit and thereby
prolongs the service life of the frequency converter.
As standard, VLT 5000 Crane features integral
thermal protection. If a situation of thermal overload
occurs, this function cuts out the inverter.
The VLT 5000 Crane features reliable galvanic isolation
on all control terminals and integrated electronic
thermal protection on the motor.
Function and System Description
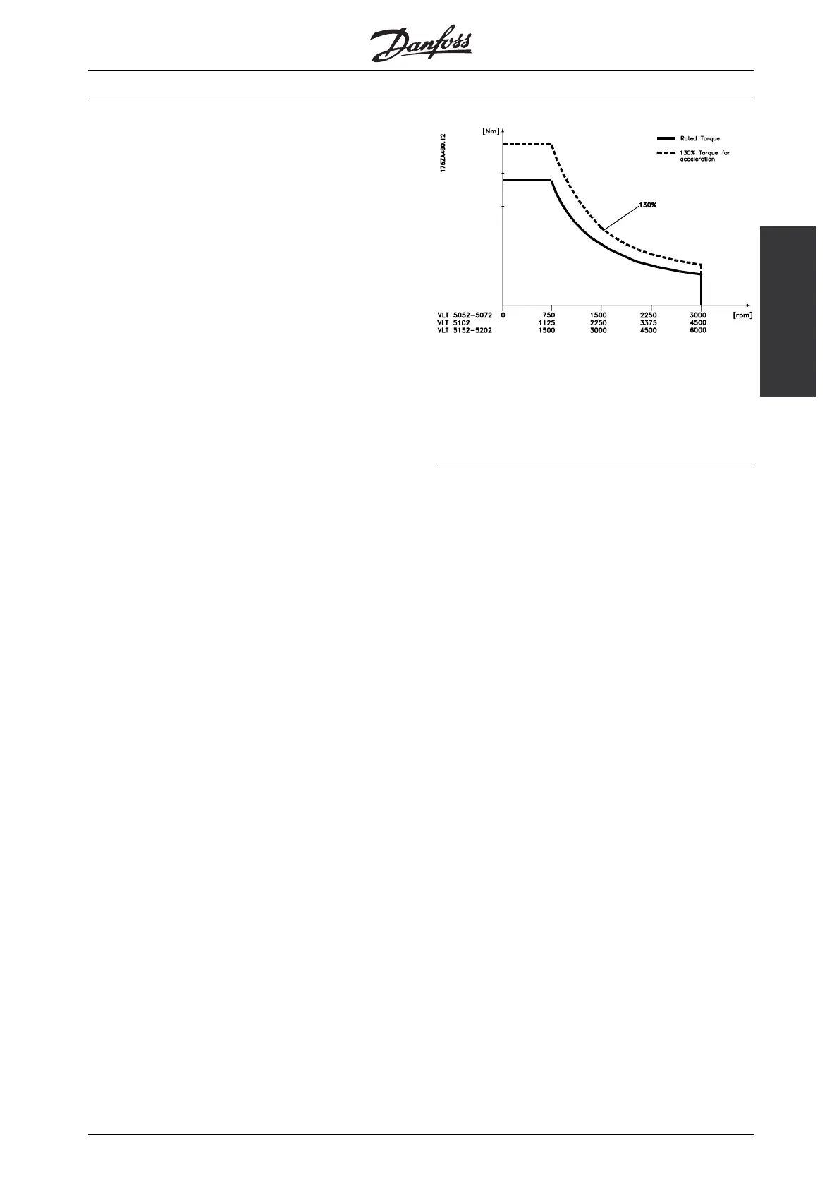
With VLT 5000 Crane the speed is infinitely varied in the
whole speed range from standstill (0 RPM) until rated
speed (750 RPM for VLT 5052-5072, 1125 RPM for
VLT 5102) according to the CT characteristic and rated
power up to max. speed (3000 or 4500 RPM).
There is full torque in the whole speed range.
VLT 5000 Crane offers:
Full utilisation of control range
130% torque for acceleration
Fine adjustment at standstill + full load possible
without activating the system brake
System Description
The sketch on next page shows how a tower crane
works together with VLT Crane Control.
The system consists of the following:
1. VLT 5000 Flux Vector Control
2. Brake resistor
3. Motor
4. Cable drum
5. Angular gear box
6. NC system brake
7. Electric 2-step-gears: Normal load and heavy load
8. Optical encoder: Motor speed information for
flux vector control with closed loop
9. Load signals: VLT 5000 Crane checks on the basis of
load signals that the working range is not exceeded
10. Control signal: Analogue reference as well as
hoist, lowering and position operation
11. Quick stop with brake
12. Digital outputs: For combination of warning
and alarm at your operation
13. Crane ready signal
14. Gear step selection signal
15. VLT ready signal
16. RS 485 bus
17. RS 232 bus
18. Local control panel
Installation and mains connection of brake resistor
and motor are described in Electrical installation
MG.50.N4.02 - VLT is a registered Danfoss trademark
9

Other manuals for Danfoss VLT 5072

Related product manuals